网站首页  词典首页


请输入您要查询的字词:

 

字词 斑鸠菊
类别 中英文字词句释义及详细解析
释义 斑鸠菊

【概况】:

异名 聋耳朵树(《云南药用植物名录》),火烫叶(云南),大藤菊(广西)。

基源 为菊科斑鸠菊属植物斑鸠菊的根。

原植物 斑鸠菊Vernonia esculenta Hemsl.(Vernonia papillosa Franch.)

形态 灌木或小乔木,高2~6m。

枝圆柱形,多少具棱,被灰色或灰褐色绒毛。

叶互生,柄长5~20mm,密被灰色短绒毛;叶片长圆状披针形或披针形,长10~23cm,宽3~8cm,硬纸质,顶端尖或渐尖,基部宽楔形,全缘或波状,表面暗绿色,稍粗糙,有乳头状突起,背面被灰色柔毛或短绒毛,两面均有亮腺点。头状花序径2~4mm,在枝顶组成宽圆锥花序;总苞倒锥状,总苞片约4层,卵形或卵状长圆形,全部或上部暗绿色,顶端尖或稍尖,背部及边缘被灰色短柔毛;全为管状花,长约7mm,淡紫红色,裂片线状披针形。瘦果近圆柱形,长约3mm,稍具棱,被疏短毛和腺点;冠毛约2层,外层短,内层糙毛状,长6~7mm,白色或污白色。

花果期7~12月。(图见《中国高等植物图鉴》.第4册.406页.图6225)

生境与分布 生于海拔1000~2700m的山坡阳处、草坡灌丛、山谷疏林或林缘。

分布于广西、四川、贵州、云南等省区。

。【化学】:

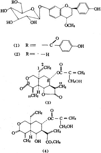
附 驱虫斑鸠菊(Vernonia anthelmintica Willd.)种子(新疆产)中得到10个化合物:对羟苯甲酰斑鸠菊黄烷甙(p-Hydroxy benzoylvemovan)(1)、斑鸠菊黄烷甙(Vernovan)(2)、斑鸠菊大苦素(Vernodalin)(3)、斑鸠菊醇(Vernodalol)(4)、3,4,2′,4′,5′-五羟基-6′-甲氧基-2-甲基查耳酮(3,4,2′,4′,5′-Pentahydroxy-6′-methoxy-2-methyl chalcone)、β香树脂醇(β-Amyrin)、胡萝卜甙(β-Sitosterol-β-D-glucoside)、斑鸠菊酸(Vernolic acid)、豆甾醇(Stigmasterol)[1]

杏叶斑鸠菊(V.amygdalina Del.)叶中得到斑鸠菊大苦素,及杏叶斑鸠菊苦素(Vernomygdin)均为细胞毒活性倍半萜[2]

参考文献 [1] 化学学报 1991;49(10)∶1018 [2] J Org Chem 1969;34(12)∶3908

【药理】:

斑鸠菊大苦素vernadalin体外试验有抗人鼻咽癌KB细胞的作用,ED50为1.8μg/ml。

参考文献 J Org Chem 1969;34(12)∶3908

【药性】:

性味 ❶ 《全国中草药汇编》:“甘、涩,温。”
❷ 《新华本草纲要》:“甘、涩,凉。”

功效 消炎,解毒。

主治 阑尾炎,疮疖。

用法用量 内服:煎汤,10~15g。外用:适量,研粉,调敷患处。

【临床应用】:

单方应用 ❶ 《全国中草药汇编》:“治阑尾炎:斑鸠菊9~15g。水煎服。”
❷ 《全国中草药汇编》:“治疮疖、斑鸠菊研末,调敷患处。”

随便看

 

离鸟网收录3541549条中英文词条,其功能与新华字典、现代汉语词典、牛津高阶英汉词典等各类中英文词典类似,基本涵盖了全部常用中英文字词句的读音、释义及用法,是语言学习和写作的有利工具。

 

Copyright © 2004-2024 vtrois.com All Rights Reserved
更新时间:2026/4/17 19:32:40