扑灭司林
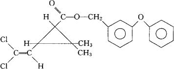
C21H20Cl2O3=391.29 CAS-52645-53-1 3-(2,2-二氯乙烯基)-2,2-二甲基环丙烷羧酸,(3-苯氧苯基)甲酯。 3-(2,2-Dichloroethenyl)-2,2-dimethylcyclopropanecarboxylic acid,(3-phenoxyphenyl)methyl ester. (±)-3-(2,2-二氯乙烯基)-2,2-二甲基环丙烷羧酸间-苯氧苄酯。 m-Phenoxybenzyl(±)-3-(2,2-dichlorovinyl)-2,2-dimethylcyclopropanecarboxylate. (±)-3-(2,2-二氯乙烯基)-2,2-二甲基环丙羧酸3-苯氧苄脂。 (±)-3-Phenoxybenzyl 3-(2,2-dichlorovinyl)-2,2-dimethylcyclopropanecarboxylate. 抗寄生虫药(兽用和农用)。 合成除虫葡类杀虫药。 哌美士林,苄氯菊酯。 Permethrin,Stomoxin,Pyreflor,Wellcare,FMC33297,Elimite,Nix,Ryposect. INN,BAN,USAN.  |