网站首页  词典首页


请输入您要查询的字词:

 

字词 20°角测定法
类别 中英文字词句释义及详细解析
释义 20°角测定法

[说明]本标准规定了以20°角光泽度计测定纸及纸板光泽度的方法。适用于铸涂纸、蜡光纸等高光泽度的纸及纸板。也适用于高印刷光泽度的纸及纸板,但不适用于光泽度较低的涂布或未涂布的纸及纸板。

[使用仪器]光泽度仪等。

[测定方法]执行GB8941.1-88(轻工业部1988-04-12批准,1988-08-01实施)。

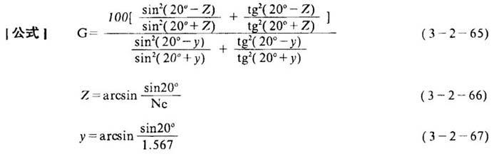
式中 G-工作标准板的光泽度值

Ne-高光泽工作标准光洁的黑玻璃平板的折光指数(汞e谱线折光指数)

随便看

 

离鸟网收录3541549条中英文词条,其功能与新华字典、现代汉语词典、牛津高阶英汉词典等各类中英文词典类似,基本涵盖了全部常用中英文字词句的读音、释义及用法,是语言学习和写作的有利工具。

 

Copyright © 2004-2024 vtrois.com All Rights Reserved
更新时间:2026/4/18 0:22:15