网站首页  词典首页


请输入您要查询的字词:

 

字词 富马酸替诺法韦
类别 中英文字词句释义及详细解析
释义 富马酸替诺法韦

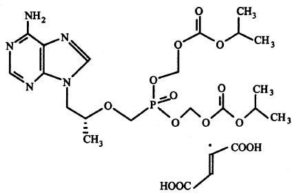
【化学名称】[1-甲基-2-(N-6'-氨基-9H-嘌呤)-乙氧基]甲基磷酸二[(1-甲基乙氧基)甲酰氧基]甲醇酯

【化学结构】

【药理作用】本品为(R)-PMPA 的前体药。在体外抗病毒活性研究中发现,(R)-PMPA 对 Molt4/克隆8细胞、人淋巴细胞(MT-4)、人单核细胞、巨噬细胞和外周血单核细胞(PBMC)中的HIV-1(Ⅲb株,Ba-L或 HE)或 HIV-2(ROD)的抗病毒活性要比(S)-PMPA强约10~100倍。此外,对感染了HIV-1/Ⅲb的T-淋巴细胞MT-2细胞系,bis(POC)PMPA 显示出强细胞毒性,IC50为0.003 μmol/L,CC50为 50 μmol/L;而(R)-PMPA 的 IC50为 0.5μmol/L,CC50为250μmol/L;bis(POC)PMPA 与(R)-PMPA 相比,除了选择性指数有所提高外,其化学稳定性和对酶的稳定性亦得到改善。

因本品被细胞迅速摄取后,在细胞内便产生二磷酸活性代谢物PMPApp的积聚猛增1000倍以上,从而抗病毒活性亦随之增加100倍以上;将人表皮角质细胞暴露于5mol/L(R)-PMPA中48h后,细胞则将59.5% 的(R)-PMPA转化成了PMPApp,这表明本品能在细胞内成功的磷酸化,从而有可能用于临床抗病毒。

体外研究显示,(R)-PMPA 除了对逆转录病毒具强效抑制作用外,还有其它活性,如抗人巨细胞病毒(HCMV)活性,其二磷酸活性代谢产物PMPApp是抗HCMV DNA聚合酶的一种dATP竞争性抑制剂;具免疫调节作用,体外影响鼠腹膜巨噬细胞的细胞因子分泌和一氧化氮(NO)产生,呈剂量和时间依赖性地显著刺激IL-10和TNF-α的分泌,但对IFN-γ和IL-2的表达无影响,可使IFN-γ诱导的NO产生增加。使用抗TNF-α和IL-10的特异性抗体的类似物,为杂环碱基腺嘌呤的 N-2(2-膦酰基甲氧基丙基)衍生物活性对映体(R)-PMPA的前药,又称bis(POC)PMPA,是一种口服亲脂性酯衍生物。而(R)-PMPA 拥有一膦酰基甲基醚功能团,具选择性抗HIV及其他逆病毒的强活性,但口服生物利用度低。研究显示,这些细胞因子可介导(R)-PMPA所致NO产生的增加。

(R)-PMPA在体外实验中所表现出的强效抗逆转录病毒特性已在体内实验中得以证实。小鼠感染上已知可发展为鼠免疫缺陷综合征(MAIDS)的LPBM5鼠白血病病毒后5周,于其腹膜内给予(R)-PMPA5或25 mg/kg,结果,病情的发展得以遏制,第9周时,25 mg/kg剂量组小鼠无一发生严重的MAIDS,仅有一只被确定为轻度MAIDS。一项体内研究证实(R)-PMPA 对急性猫免疫缺陷病毒(FIV)具有强抑制活性,且毒性低于齐多夫定或PMEA。

几项临床前研究表明,(R)-PMPA 对成年和新生恒河猴具有体内抗猴免疫缺陷病毒(SIV)感染的功效。SIV慢性感染至少19周的成年cynomol gus猴经(R)-PMPA 皮下注射30或75 mg/(kg·d),共治疗28d,在不到2周的时间内,血浆SIV和PBMC水平降低99% 以上。30 mg/kg剂量的(R)-PMPA 耐受性良好,且可增加CD4+计数而无不良反应。成年猴在感染前48h及感染后3或24h,接受(R)-PMPA皮下注射20或30 mg/kg,共4周,也很有效。在整个56周实验期间,SIV感染被有效预防而未有不良反应发生。

临床前研究还显现,给感染SIV 的新生rhesus猴预防性注射(R)-PMPA可减少分娩时的SIV感染率。不论妊娠母猴在剖腹产前2h是否皮下注射30 mg/kg(R)-PMPA,出生后3d内口服SIV-mac251或静脉注射SHIV-SF33而感染的新生猴在7个月龄内均发展为致命的免疫缺陷症。然而,新生猴出生后2h内被感染,并立即按30 mg/(kg·d)皮下注射(R)-PMPA,持续2周,尽管其中有3/4出现初期短暂病情,但到8个月龄时则是健康的且血清病毒检查呈阴性。

在SIV感染的新生rhesus猴中对(R)-PMPA的长期疗效和毒性反应进行了评估。4只猴感染后3周,皮下注射(R)-PMPA 30 mg/(kg·d),结果病毒血症减轻,无病状态持续13个月以上,且未见不良反应。然而在所有接受治疗的动物中出现一种对(R)-PMPA敏感性衰减5倍的病毒,这与K65R突变有关。

【药代动力学】在对(R)-PMPA 和其口服用前体药本品进行的若干药动学研究中,采用人肠粘膜Caco-2细胞单层细胞的研究结果显示,本品的总转运率为2.7% ,而(R)-PMPA则低于0.1% 。本品的代谢主要是在上皮细胞内,而在这些细胞腔侧的降解作用相对较弱。

在PBMC中,本品可增加膜通透性,并加快细胞内PMPApp的合成代谢;在静止和激活的 PBMC中可见活性代谢产物的积聚。在静止和激活的淋巴细胞中,本品和(R)-PMPA 在细胞内形成PMPApp积聚的半衰期分别为12~15h和33~50h。将PBMC与1μmol/L[3H]bis(POC)PMPA培养1h后,PMPA、PMPApp和PMPA单磷酸盐PMPAp的浓度分别为28、1.9和6.3μmol/L。

一项在狗身上进行的药动学研究中,为检测(R)-PMPA 的代谢和排泄,给狗静注[14C]-PMPA 10 mg/kg后,PMPA血浆浓度半衰期为10h,70% 的PMPA 以原形从尿中排泄,从粪便和胆汁的回收量可忽略不计。鉴于狗的PMPA血浆清除率[0.28±0.05L/(h·kg)]比肾小球滤过率更快,提示PMPA在肾小管呈主动性分泌。另一项研究中,先给狗使用五肽胃泌素,然后给予(R)-PMPA10 mg/kgiv或po或1 mg/kgiv和10 mg/kgip,结果测得口服和腹膜内给药10 mg/kg后的生物利用度分别约为17% 和74% 。另有研究报告小鼠和狗口服(R)-PMPA的生物利用度<3% 。此外,小鼠口服本品的生物利用度测定为20% ~30% ,表现出活性PMPA的高效释放,因为口服后,前药和其单酯代谢物 mono(POC)PMPA均未能在血浆中测得。与此相似,给狗口服60 mg/(kg·d),本品的生物利用度为25% ~30% ,持续给药5d,方略有毒性反应出现。通过对狗的肠、血浆和肝组织匀浆进行的体外药动学检测,表明本品具有良好的化学和肠道稳定性。

【适应证】艾滋病感染病人。

【剂量与用法】口服,150~300 mg,1次/d。

【临床评价】一项旨在评估静注(R)-PMPA 的耐受性和疗效的随机、安慰剂对照Ⅰ/Ⅱ期临床研究表明,给药剂量分别为1和3 mg/kg时,HIV 感染者的 HIV RNA 水平在用药期间持续下降;高剂量组在治疗结束后其HIV RNA水平的下降可维持1周。

一项评价单用口服本品治疗的安全性和疗效的随机、双盲、安慰剂对照及剂量递增的Ⅰ/Ⅱ期临床研究已获初步结果。36例HIV感染成人空腹口服单剂量本品(75、150或300 mg/d),之后间隔7d,待药物排出,再给药28d。发现本品的生物利用度随食物的摄取从约27% 增加到41% ,其血清半衰期≥17h,且全身血药浓度呈剂量依赖性变化。在治疗28d后,病人HIV RNA 水平从基线呈剂量依赖性降低,接受剂量为75、150、300 mg及安慰剂的病人其 HIV RNA 水平降低中值分别为 0.32、0.44、1.22和0.06l g。

另一项Ⅱ期临床研究评估了固定的抗逆转录病毒疗法加用1次/d的本品对于治疗HIV 感染病人的安全性和疗效。该研究为涉及189例病人、探讨剂量范围的48周双盲试验,结果表明,本品的抗病毒活性与剂量相关,并有良好的耐受性。所有受试病人先前均已接受了至少8周固定的抗逆转录病毒治疗,然后随机接受安慰剂或本品75、150和300 mg,作为辅助治疗。第24周时,所有服用安慰剂的病人转用300 mg本品治疗。在这三个剂量组中,最高剂量组的病人获得最大疗效,其平均DAVG 24(24周内与基线时间-权重的差异)为-0.62l gcopies/ml,而安慰剂组为+0.04l gcopies/ml,150 和 75 mg治疗组病人的平均 DAVG 24 分别为-9.36和-0.27l gcopies/ml。300、150和75 mg治疗组及安慰剂组的HIV RNA浓度距基线水平的平均绝对下降值分别为-0.75、-0.40、-0.45和-0.05l gcopies/ml,故最高剂量的本品可使血液中病毒水平降低80% 以上。本品治疗的耐受性良好,160例中有7例中断治疗,而安慰剂组的27例中有2例中断治疗,未见有与药物相关的肾毒性反应。

对被HIV感染的成年病人进行的临床研究显示,与静注相比,本品具较高的口服生物利用度(40%)和抗病毒疗效率。

【不良反应】本品严重不良反应包括,分别有18% 和14%出现肌酸激酶可逆性升高,2例原有的感觉性神经病病情加重。

【注意事项】原有感觉性神经病病人慎用本品。

【制剂规格】片剂:每片含本品100 mg或150 mg。

【生产厂家】美国Gilead公司。

随便看

 

离鸟网收录3541549条中英文词条,其功能与新华字典、现代汉语词典、牛津高阶英汉词典等各类中英文词典类似,基本涵盖了全部常用中英文字词句的读音、释义及用法,是语言学习和写作的有利工具。

 

Copyright © 2004-2024 vtrois.com All Rights Reserved
更新时间:2026/4/19 0:48:11