网站首页  词典首页


请输入您要查询的字词:

 

字词 烟丙法宗
类别 中英文字词句释义及详细解析
释义 烟丙法宗

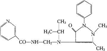
C21H25N5O2=379.46

CAS-15387-10-7

N-[(安替比林基异丙氨基)甲基]烟酰胺。

N-[(Antipyrinylisopropylamino)methyl]nicotinamide.

N-[[(2,3-二氢-1,5-二甲基-3-氧代-2-苯基-1H-吡唑-4-基)(1-甲基乙基)氨基]甲基]-2-吡啶甲酰胺。

N-[[(2,3-Dihydro-1,5-dimethyl-3-oxo-2-phenyl-1Hpyrazol-4-yl)(1-methylethyl)amino]methyl]-3-pyridinecarboxamide.

消炎镇痛药。

理普法宗。

Niprofazone,Niapyrinum,Ravalgene,Ra 101.

INN,USAN.

随便看

 

离鸟网收录3541549条中英文词条,其功能与新华字典、现代汉语词典、牛津高阶英汉词典等各类中英文词典类似,基本涵盖了全部常用中英文字词句的读音、释义及用法,是语言学习和写作的有利工具。

 

Copyright © 2004-2024 vtrois.com All Rights Reserved
更新时间:2026/4/19 11:26:36