网站首页  词典首页


请输入您要查询的字词:

 

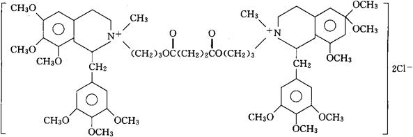
字词 多沙库氯铵
类别 中英文字词句释义及详细解析
释义 多沙库氯铵

C56H78Cl2N2O16=1106.15

CAS-106819-53-8

2,2′-[(1,4-二氧代-1,4-丁二基)双(氧-3,1-丙烷二基)]双[1,2,3,4-四氢-6,7,8-三甲氧-2-甲基-1-[(3,4,5-三甲氧苯基)甲基]-异喹啉鎓,二氯化物,[1α,-2β(1′S*,2′R*)]与(±)-[1α,2β(1′R*,2′S*)]-2,2′-[(1,4-二氧代-1,4-二丁基)双(氧-3,1-丙二基)

[-双[1,2,3,4-四氢-6,7,8-三甲氧基-2-甲基-1-[(3,4,5-三甲氧基苯基)甲基]异喹啉鎓]二氯化物的化合物。

Isoquinolinium,2,2′-[(1,4-dioxo-1,4-butanediyl)bis(oxy-3,1-propanediyl)]bis[1,2,3,4-tetrahydro6,7,8-trimethoxy-2-methyl-1-[(3,4,5-trimethoxyphenyl)-methyl]-,dichloride,[1α,-2β(1′S*,2′R*)]-,mixture with(±)-[1α,2β(1′R*,2′S*)]-2,2′-[(1,4-dioxo-1,4-butanediyl)bis(oxy-3,1-propanediyl)]bis[1,2,3,4-tetrahydro-6,7,8-trimethoxy-2-methyl-1-[(3,4,5-trime-thoxyphenyl)methyl]isoquinolinium]dichloride.

(1R,2S;1S,2R)-1,2,3,4-四氢-2-(3-羟丙基)-6,7,8-三甲氧基-2-甲基-1-(3,4,5-三甲氧苄基)氯化异喹啉鎓,琥珀酸盐(2∶1),与(±)-(1R*,2S*;1R*,2S*)-1,2,3,4-四氢-2-(3-羟丙基)-6,7,8-三甲氧-2-甲基-1-(3,4,5-三甲氧苄基)异喹啉鎓氯化物,琥珀酸盐的化合物。

(1R,2S;1S,2R)-1,2,3,4-tetrahydro-2-(3-hyd-roxypropyl)-6,7,8-trimethoxy-2-methyl-1-(3,4,5- trimethoxybenzyl)isoquinolinium chloride,succinate(2∶1),mixture with(±)-(1R*,2S*;1R*,2S*)-1,2,3,4-tetrahydro-2-(3-hydroxypropyl)-6,7,8-trimethoxy-2-methyl-1-(3,4,5-trimethoxybenzyl) isoquinolinium chloride,succinate(2∶1).

神经肌肉阻断药。

Doxacurium Chloride,BW A938U Dichloride.

Doxacurium Chloride有10个立体异构体,其中有4d1对,二个内消旋型三个反式构型,只有一个是药物。

这异构体的立体化学是Doxacurium

Chloride(1R,1′R,2S,2′S)and(1S,1′S,2R,2′R)(dl pair).

(trans isomers)(1R,1′S,2S,2′R)(meso)

(trans-cis isomers)(1S,1′S,2R,2′S)and(1R,1′R,2S,2′R).(dl pair)

(1S,1′R,2R,2′R)and(1R,1′S,2S,2′S).(dl pair)

(cis isomers)(1S,1′S,2S,2′S)and(1R,1′R,2R,2′R)(dl pair).

(1S,1′R,2S,2′R) (meso)

随便看

 

离鸟网收录3541549条中英文词条,其功能与新华字典、现代汉语词典、牛津高阶英汉词典等各类中英文词典类似,基本涵盖了全部常用中英文字词句的读音、释义及用法,是语言学习和写作的有利工具。

 

Copyright © 2004-2024 vtrois.com All Rights Reserved
更新时间:2026/4/19 2:57:30