实验法
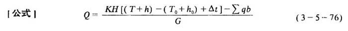
[使用仪器]氧弹式热量计 [测定方法]略(参照有关仪器使用说明书)。  式中 Q——发热量(cal/g),换算同式3-5-74 K——热量计的水当量 H——用贝克曼温度计操作时温度计上每1度相当于实际温度的度数 T——主要阶段的最终温度(℃) T0——主要阶段的最初温度(℃) h——在T时对温度计刻度的校正 h0——在T0时对温度计刻度的校正 G——分析试样的重量(g) ∑qb——点火丝发生的总热量(cal) △t——热量计与大气温度的热交换校正数  △T0——最初阶段内每半分钟温度的平均变化 △T——最终阶段内每半分钟温度的平均变化 m——主要阶段中温度快速升高后(每半分钟大于0.3℃)的半分钟间隔数目;第一间隔,不论其升高多少,属于快速上升范围 n——主要阶段温度缓慢上升的半分钟间隔数目(每半分钟为0.3℃以下) |