网站首页  词典首页


请输入您要查询的字词:

 

字词 多巴金刚
类别 中英文字词句释义及详细解析
释义 多巴金刚

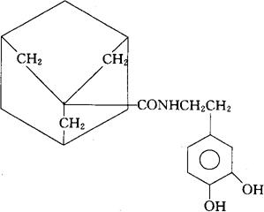
C19H25NO3=315.41

CAS-39907-68-1

N-[2-(3,4-二羟苯基)乙基]三环[3,3,1,13,7]癸烷-1-羧酰胺。

N-[2-(3,4-Dihydroxyphenyl)ethyl]-tricyclo[3,3,1,13,7]decane-1-carboxamide.

N-(3,4-二羟苯乙基)-1-金刚烷羧酰胺。

N-(3,4-Dihydroxyphenethyl)-1-adamantanecar boxamide.

抗震颤麻痹药。

多巴曼丁。

Dopamantine,Sch 15507.

INN,USAN.

随便看

 

离鸟网收录3541549条中英文词条,其功能与新华字典、现代汉语词典、牛津高阶英汉词典等各类中英文词典类似,基本涵盖了全部常用中英文字词句的读音、释义及用法,是语言学习和写作的有利工具。

 

Copyright © 2004-2024 vtrois.com All Rights Reserved
更新时间:2026/4/18 3:44:53