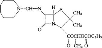
巴美西林
C20H31N306S=441.54 CAS-50846-45-2 (2S,5R,6R)-6-[[(六氢-1H-吖庚因基-1)亚甲基]氨基]-3-3-二甲基-7-氧-4-硫杂-1-氮杂双环[3.2.0]庚烷-2-羧酸-1-羟乙基碳酸乙酯。 (2S,5R,6R)-6-[[(Hexahydro-1H-azepin-1-yl)methylene]amino]-3,3-dimethyl-7-oxo-4-thia-1-azabicyclo[3.2.0]heptane-2-carboxylic acid esterwith ethyl I-hydroxyethyl carbonate. 抗生素类药。 Bacmecillinam. INN,USAN.  |