网站首页  词典首页


请输入您要查询的字词:

 

字词 塑化量
类别 中英文字词句释义及详细解析
释义 塑化量

式中,A是用以标定注射机能力的塑料(常为聚苯乙烯),B是实际使用的塑料,Q是注射温度下塑料的总热容量,亦即(比热×温升)+熔化潜热。

Q值可由表1-6求得。

经验数据

以聚苯乙烯为标准定额依据的注射机的塑化量,对于注射高密度聚乙烯则为50%,对于注射聚丙烯或低密度聚乙烯为60%。

考虑到某些塑料要求低螺杆速度和注射周期间螺杆的间歇使用,粗略的塑化量可由下列因数计算:

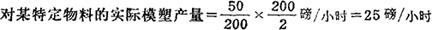
示例

对于某物料推荐的螺杆速度50转/分

注射机的最大螺杆速度200转/分

最大速度下螺杆的连续塑化量200磅/小时

随便看

 

离鸟网收录3541549条中英文词条,其功能与新华字典、现代汉语词典、牛津高阶英汉词典等各类中英文词典类似,基本涵盖了全部常用中英文字词句的读音、释义及用法,是语言学习和写作的有利工具。

 

Copyright © 2004-2024 vtrois.com All Rights Reserved
更新时间:2026/4/17 18:53:36