噁草酮
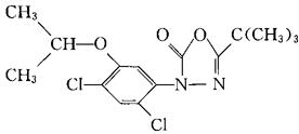
又称农思它、噁草灵。 有机杂环类内吸、选择性除草剂。化学名称:5-特丁基-3-(2,4-二氯-5-异丙氧苯基)-1,3,4-噁二唑啉-2-酮。化学结构式如下。原药为白色无气味不吸水结晶,熔点约90℃,20℃时蒸气压133.322×10-6Pa。微溶于水,易溶于甲醇、乙醇、环己烷、丙酮、苯、氯仿、二甲苯等有机溶剂。一般贮存条件下稳定性良好。 可通过杂草幼芽、幼苗或地上部分吸收,并积累在生长旺盛部位,抑制生长,致使杂草组织腐烂死亡。在有光照条件下才发挥杀草作用。 适于水稻、棉花、花生、甘蔗、茶果园及花卉防除稗草、干金子、雀稗、异型莎草、球花碱草、鸭舌草、瓜皮草、节节草、马唐、牛筋草、鳢肠、苋、藜等一年生杂草。 原药大鼠急性经口LD50约为8000mg/kg,急性经皮LD50约为8000mg/kg,急性吸入LC50>200mg/L。对鱼类中等毒,对鸟类低毒。 
|