网站首页  词典首页


请输入您要查询的字词:

 

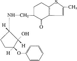
字词 噻戊托辛
类别 中英文字词句释义及详细解析
释义 噻戊托辛

C21H25NO3S=37.50

CAS-95588-08-2

6,7-二氢-5-[[2-(羟-3-苯氧环戊基)氨基]甲基]-2-甲基苯并[b]噻吩-4(5H)-酮。

6,7-Dihydro-5-[[2-(hydroxy-3-phenoxycyclopentyl)-amino]methyl]-2-methylbenzo[b]thiophen-4(5H)-one.

抗高血压药(增血压转化酶抑制药)。

Tipentosin.

INN,BAN.

随便看

 

离鸟网收录3541549条中英文词条,其功能与新华字典、现代汉语词典、牛津高阶英汉词典等各类中英文词典类似,基本涵盖了全部常用中英文字词句的读音、释义及用法,是语言学习和写作的有利工具。

 

Copyright © 2004-2024 vtrois.com All Rights Reserved
更新时间:2026/4/19 6:03:20