可变构成指数
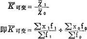
简称可变指数,又称可变组成指数。 指社会经济现象总体两期某项平均指标对比的动态相对数,系总体某项指标的计算期加权平均数与基期加权平均数对比的结果。其公式为:  式中: (可变)代表可变指数, 代表加权平均数,x代表各单位或各组的标志数值,f代表单位数(次数、权数)0和1分别代表基期和计算期,由公式表明,可变指数包括总体各单位(或各组)标志水平的变化,还包括总体内部结构变化的影响。 可变指数的分子( )与分母( )之差,表示两期总平均水平相差的数额。 可变指数与固定构成指数、结构影响指数,存在客观固有的内在联系,形成了相互联系的指数体系,可变指数等于固定构成指数,结构影响指数的乘积,知道后面两个指数的资料,便可推算出可变指数。 |