网站首页  词典首页


请输入您要查询的字词:

 

字词 最经济的绝热层厚度计算
类别 中英文字词句释义及详细解析
释义 最经济的绝热层厚度计算

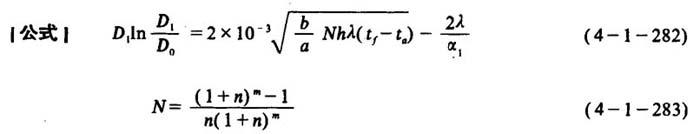
1.外径<1m的管道或圆筒形设备

[说明]先计算出最经济的绝热层相对厚度D1ln,再据图4-1-6查出最经济的绝热层厚度δ。

式中 b——热量价格(元/百万cal)

α——绝热材料价格(包括施工费(元/m3)

N——折旧系数

h——年运行时间(h)

m——补偿年限(年)

n——折旧率(%)

其它均同上

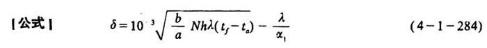
2.平壁及外径大于1m的管道或圆筒形设备

式中 δ——最经济绝热层厚度(m)

其它均同上

随便看

 

离鸟网收录3541549条中英文词条,其功能与新华字典、现代汉语词典、牛津高阶英汉词典等各类中英文词典类似,基本涵盖了全部常用中英文字词句的读音、释义及用法,是语言学习和写作的有利工具。

 

Copyright © 2004-2024 vtrois.com All Rights Reserved
更新时间:2026/4/19 1:08:44