参照系的选用及转换方法
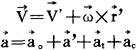
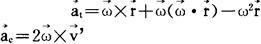
牛顿运动定律原应只在惯性参照系中成立。 在很多实际问题中,往往选用非惯性参照系(即相对于惯性参照系加速或转动者)来分析更为方便,例如地球,它既有自转又有公转,原则上应作为非惯性参照系来对待,只是在某些特殊问题上,当地球的自转及公转可以略去不计时,才近似地可作为惯性参照系来对待。 设非惯性参照系S’相对于惯性参照系S的平动加速度、转动角速度及角加速度分别为 、 及 ,某质点相对于S的速度及加速度分别为 及a,相对于S’的速度及加速度为 ’及 ’,则由分析可知  式中 ’是该质点在S’参照系中的矢径,  设质点所受合外力为 ,则在惯性系S中有  于是可得 此式表明,只要把力的概念加以扩大,引入惯性力- 的概念,则在非惯性系S’中仍可保留有牛顿运动定律的形式。 惯性力- 是S’的平动速度引起的,惯性力- 是S’的转动引起的,惯性力- 则是S’的转动及质点相对S’的运动共同导致的,常见的惯性离心力含在- 中,-m 通常称为科里奥利惯性力。 |