网站首页  词典首页


请输入您要查询的字词:

 

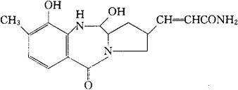
字词 安特拉霉素
类别 中英文字词句释义及详细解析
释义 安特拉霉素

C16H17N3O4=315.33

CAS-4803-27-4

(E)-5,10,11,11α-四氢-9,-11-二羟基-8-甲基-5-氧-1H-吡咯并[2,1-c][1,4]苯并二氮-2-丙烯酰胺。

(E)-5,10,11,11α-Tetrahydro-9,11-dihydroxy-8-methyl-5-oxo-1H-pyrrolo[2,1-c][1,4]-benzodiazepine-2-acrylamide.

抗肿瘤药。

安曲霉素,安拉霉素。

Anthramycin(USAN).

INN,NFN,USAN,MI.

随便看

 

离鸟网收录3541549条中英文词条,其功能与新华字典、现代汉语词典、牛津高阶英汉词典等各类中英文词典类似,基本涵盖了全部常用中英文字词句的读音、释义及用法,是语言学习和写作的有利工具。

 

Copyright © 2004-2024 vtrois.com All Rights Reserved
更新时间:2026/4/18 7:37:52