包络定理
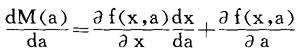
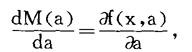
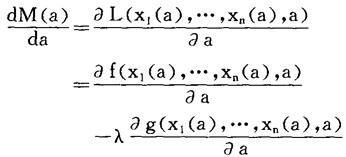
最早在1931年由瓦伊纳(J.Viner)和王(Y.K.Wong)在讨论短期和长期平均成本曲线之关系时提出的,他们认为:长期平均成本曲线不仅总低于短期成本曲线,且通过每一条短期成本曲线的最小点。 后来在1947年萨缪尔森(Samuelson)用一般方法证明,长期成本曲线就是短期成本曲线族的包络。考虑一个含单参数a的函数f(x,a)的无条件极值问题minf(x,a)。 对每一个a,上问题的解记为x(a),设最小值f(x(a),a)=M(a),则随著a的变化M(a)也变动。对M(a)关于a求导数得:  因为对每一个a,最优解是x(a)。 由函数f(x,a)在x取最小值的必要条件知 =0,从而上式变为:  即最小值M(a)关于参数a的变化率就等于函数f(x,a)关于a的变化率而与x无关。M(a)为曲线族y=f(x,a)的包络,故称上等式为包络定理。 对含参数a的带约束条件极值问题: minf(x1,…,xn,a) s.t.g(x1,…,xn,a)=0 令拉格朗日函数L=f(x1,…,xn,a)-λg(x1,…,xn,a),对每一个a,上问题的解为x1(a),…,xn(a),记f(x1(a),…,xn(a),a)=M(a)。类似于上面的做法得:  这也称包络定理。 |