网站首页  词典首页


请输入您要查询的字词:

 

字词 BOD的去除率(自净能力)计算
类别 中英文字词句释义及详细解析
释义 BOD的去除率(自净能力)计算

[例21在例1中,若该河段五日内流经97km,污染负荷BOD由20ppm降低至6ppm,已知日径流量为268500m3/d,原河中水BOD负荷为2ppm。求:
❶ 自净能力的BOD去除率?❷ 求5d内去污能力的径污比?❸ 相当于多大径流量的河水五日后去除70%?

解:
❶ BOD去除率

式中 K——BOD.去除率(%)

G1——污染负荷BOD5自净去除量(kg)

G——河段中BOD5原有总量(kg)

G2——BOD降低量(kg)

O——日径流总量(m3/d)

Q2——排入河段BOD量(kg)

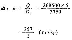
❷ 该河段五日内去污能力的径污比

式中 m——径污比

Q——5日内径流总量(m3)

G3——BOD去除量(kg)

即河流自净1tBOD5约需径流总量357000m3

❸ 相当的径流量为Z

357000=24×3600×5Z

Z=0.83(m3/s)

即相当于0.83(m3/s)的河水,五日后才能自净去污达70%。

随便看

 

离鸟网收录3541549条中英文词条,其功能与新华字典、现代汉语词典、牛津高阶英汉词典等各类中英文词典类似,基本涵盖了全部常用中英文字词句的读音、释义及用法,是语言学习和写作的有利工具。

 

Copyright © 2004-2024 vtrois.com All Rights Reserved
更新时间:2026/4/20 20:25:36