网站首页  词典首页


请输入您要查询的字词:

 

字词 糖原合成与分解
类别 中英文字词句释义及详细解析
释义
糖原合成与分解

糖原合成与分解

糖原是动物体内由葡萄糖组成的带分枝的一种大分子多糖。分子中的葡萄糖以α1,4糖苷键聚合成链,而分枝的链则是α1,6糖苷键(图1)。糖原分子的分枝很多,在分枝外围末端的葡萄糖残基没有还原性,称为非还原端。糖原分子分枝多,因而非还原端也多。由于糖原的合成与分解都是从非还原端开始,非还原端的数量多就使糖原分子中可以同时有许多部位进行代谢。

图1 糖原的部分结构


进食后,有较多葡萄糖输入肝脏和其它组织,可在这些组织中合成糖原。这些组织将小分子葡萄糖转变成糖原,不但有利于储存能源,而且还可调节血糖浓度。除葡萄糖外,其他单糖如果糖及半乳糖也能转变为糖原。由单糖合成糖原的过程称为糖原的合成。
糖原的合成与分解是由两组不相同的酶所催化的反应,它们是以1磷酸葡萄糖为中间产物。
由葡萄糖合成糖原的途径 葡萄糖合成糖原,包括四步反应:
式中的G代表葡萄糖,糖原(Gn) 代表原有的糖原分子,而糖原(Gn+1)代表多一个葡萄糖残基的糖原分子。可见糖原的合成是以原有的糖原分子为引物,逐步接上葡萄糖残基,而不是以许多葡萄糖分子直接合成新的糖原分子。新加入的葡萄糖残基以1,4糖苷键连接于糖原引物的非还原端,并可同时在糖原引物的几个分枝上增加葡萄糖残基。第三步反应所需要的UTP可由UDP和ATP通过转磷酸基团作用而合成,故糖原的合成是一个耗能反应,每增加一分子葡萄糖残基,需要消耗一分子ATP。
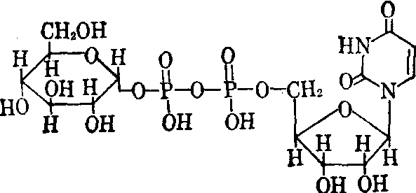
UDP和UTP参加许多糖代谢反应。UDP可以与许多单糖、糖醛酸及氨基糖形成UDP化合物,这些化合物参与糖的互变,特别是氨基多糖的合成。二磷酸尿苷葡萄糖的结构如下:
当糖原分子中以α1,4糖苷键连结的支链延长到大约有11个葡萄糖残基时,就由分枝酶(即淀粉转葡萄糖苷酶) 将糖苷断下一段并转移到其原链或其他糖链中间的葡萄糖残基上,形成一个支链,其分枝点是由α1,6糖苷键构成的。分枝酶每次可转移含有6或7个葡萄糖残基的一段寡糖链,其作用机制如下(图2):

图2 分枝酶的作用及糖原分子的增大


分枝酶使糖原增加分枝的作用很重要,一方面分枝增加了糖原的溶解度,另一方面增多许多非还原性末端。这些末端是糖原合成酶及磷酸化酶的作用部位,使糖原能继续增大分子,也易受磷酸化酶作用而分解。
糖原的分解 糖原分解是由一组与糖原合成完全不同的酶催化完成的,其整个过程可以用图表示:


从糖原分解成1磷酸葡萄糖是不耗能的磷酸解作用,由磷酸化酶催化。1磷酸葡萄糖再在磷酸葡萄糖变位酶催化下生成6磷酸葡萄糖,后者是糖代谢各种途径的交汇点,在肝脏中它至少有四条去路,在绝大多数肝外组织主要有三条去路。
6磷酸葡萄糖磷酸酶催化6磷酸葡萄糖水解生成葡萄糖,称为肝糖原的糖化作用。此酶在肝脏及肾皮质中活力最强(特别是肝脏),在其他组织中活力很小,甚至不含此酶。但肾皮质中糖原含量很少,故可认为肝中此酶对维持血糖浓度的相对恒定有非常重要的作用。
当糖原分子外部的1,4葡萄糖苷键受磷酸化酶分解而剩下四个葡萄糖残基时。就不再受磷酸化酶的作用。此时可经脱枝酶将剩余的葡萄糖残基转移到糖原分子别的枝链上,而使原来的枝链上只剩下一个以1,6糖苷键连接的葡萄糖残基,并将后者水解成自由葡萄糖,故脱枝酶具有转移葡萄糖苷和水解葡萄糖的双重作用。
因接受葡萄糖残基而延长的糖原分枝则可再受磷酸化酶的作用而分解,故依靠磷酸化酶和脱枝酶交替作用可使糖原分子不断缩小,分枝也逐渐减少。
糖原合成与分解代谢的调节 磷酸化酶及糖原合成酶分别是糖原分解与合成的限速酶,它们都具有活性与无活性两种型式。各种调节糖原合成及分解的因素,一般都通过改变这两种酶的活性状态,而实现对糖原分解与合成的调节作用(图5)。

图5 低血糖时体内糖代谢主要调节机制


从上图可以看到,磷酸化酶的激活,实际上是一系列连锁酶促反应逐级放大的结果: cAMP→活化蛋白激酶→活化磷酸化酶b激酶→活化磷酸化酶b (即磷酸化酶a)。故凡能促使细胞内cAMP增加的信号,都能导致无活性的磷酸化酶活化,进而促使糖原分解加速。例如胰高糖素及肾上腺素都能活化肝脏或肌肉细胞膜上的腺苷酸环化酶,使cAMP增加,故能分别促进糖原的分解和酵解,而胰岛素却使cAMP减少,因而抑制糖原的分解。
糖原合成酶与磷酸化酶相反,受cAMP的抑制,即cAMP→活化蛋白激酶→抑制糖原合成酶。故胰高糖素及肾上腺素能抑制此酶而减少糖原合成,而胰岛素则能激活此酶而促进糖原合成。
糖原分解与合成两个对立途径中关键酶受同一调节系统的控制,有非常重要的生理意义,当机体受到某些因素影响,如体内血糖浓度下降时,如促使肾上腺素及胰高糖素分泌增加,这两激素通过cAMP蛋白激酶系统,一方面活化了肝细胞中磷酸化酶,使糖原分解加速,另一方面促使肝脏、肌肉及脂肪细胞中糖原合成酶失活,抑制了糖原的合成,这样更有利于迅速将葡萄糖释放至血液中。除此以外,血糖下降的信号,还能抑制胰岛素的分泌。胰岛素可降低肝脏及脂肪组织中的cAMP,与肾上腺素及胰高糖素有相反的作用,故能抑制磷酸化酶及活化糖原合成酶; 当它分泌减少时,也有利于糖原的分解。低血糖时这三种激素对糖原分解与合成过程的调节见图5。
☚ 乙醛酸循环   葡萄糖异生作用 ☛
00000682
随便看

 

离鸟网收录3541549条中英文词条,其功能与新华字典、现代汉语词典、牛津高阶英汉词典等各类中英文词典类似,基本涵盖了全部常用中英文字词句的读音、释义及用法,是语言学习和写作的有利工具。

 

Copyright © 2004-2024 vtrois.com All Rights Reserved
更新时间:2026/4/20 23:14:51