网站首页  词典首页


请输入您要查询的字词:

 

字词 十硫回收率的计算
类别 中英文字词句释义及详细解析
释义 十硫回收率的计算

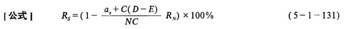
[说明]指碱回收过程中所回收的硫量占蒸煮使用硫量的百分比。

式中 Rs——硫回收率(%)

as——芒硝的耗量(kg)(以Na2SO4计)

C——其它含硫物的耗量(如H2SO4、Na2SO4等)(kg)(以Na2SO4计)

D——计算初期生产循环中硫的数量(kg)(以Na2SO4计)

E——计算末期生产循环中硫的数量(kg)(以Na2SO4计)

C——白液的硫化度(%)

RN——芒硝还原率(%)

N——蒸煮用的活性碱(kg)(以Na2SO4计)

随便看

 

离鸟网收录3541549条中英文词条,其功能与新华字典、现代汉语词典、牛津高阶英汉词典等各类中英文词典类似,基本涵盖了全部常用中英文字词句的读音、释义及用法,是语言学习和写作的有利工具。

 

Copyright © 2004-2024 vtrois.com All Rights Reserved
更新时间:2026/4/17 18:15:12