网站首页  词典首页


请输入您要查询的字词:

 

字词 生命周期假定
类别 中英文字词句释义及详细解析
释义
生命周期假定

生命周期假定Life-Cycle Hypothesis(LCH)

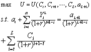
美国经济学家莫迪利亚尼(F.Modigliani)、布伦伯格 (R. Brumberg) 和安多 (A. Ando)等人提出的消费函数理论。这一理论主要体现在莫迪利亚尼和布伦伯格的《效用分析和消费函数: 横截面数据的一种解释》、《效用分析与总量消费函数: 统一的尝试》及莫迪利亚尼和安多的 《储蓄的生命周期假定: 总量解释和检验》三篇文章中。生命周期假定认为: 消费者任何时期的消费取决于现期和预期的未来资产(包括人力和非人力财富) 总量,是将这些资产在整个生命周期最优分配的结果。生命周期理论是建立在以下几个假设命题的基础之上的: (1) 消费者是理性的 “经济人”,追求从年轻到年老整个生命周期的效用最大化,将全部预期资产在各个时期进行最优消费。(2) 消费者的预期总资产由下式给出:
消费者的预期总资产=开始时的净资产+目前的收入+预期的总收入-计划的遗产价值这里的预期的总资产是指其财产的净值,而不是指其持有的流动资产,因为只有财产净值才能反映实际财产水平。消费者的消费同实际财产水平保持固定的比率,同流动资产的关系是不确定的。(3) 消费者的一生可以按照净储蓄划分为两大时期: 净储蓄大于零,即收入大于消费的时期,及净储蓄小于零,即不赚取收入或收入小于消费的时期。前者指壮年时期,后者包括青少年和老年时期。这样,消费者即使处于零收入情形下,也可以靠负储蓄 (即净储蓄小于零)来维持消费,但他的收入不能永远是零,不然他就不能作为独立的消费单位而正常存在。(4) 同持久收入假定一样,生命周期假定也区分了消费和消费支出,这样消费的含义只包含了从耐用消费品中得到的服务流量,而不是购买商品实际支出的数量,以上假设是建立消费与财产关系的生命周期模型的基础。这一模型的数学描述可表示为:

其中,Ci是个人在其生命期的第i年里的消费,YiL是第i年的期望劳动收入(i>t),at表示年龄t开始时的资产,r代表利息率,N表示工作期 (年数),L表示有经济意义的生命期(年数)。为了得到收入和财产之间有明确意义的关系,作如下简化假定:
(1)效用函数U对变量Ct,Ct+1,… ,CL是齐次的。
(2) 典型的个人计划把他的收入在他的余生中按均匀的比率进行消费。
(3)aL+1=0,即没有遗产动机。设:

根据齐次函数性质,效用最大化时,Ci=rit·PVt,其中对给定的t和i,数量rit取决于函数U的具体形式和利息率r,但与“全部资源”PVt无关。根据简化假定(2)可知所有时期的rit都相等,设rit=k(i=t,t+1,…,L),那么:

Ct=k·PVt

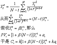
设平均预期的劳动收入(Yte)为:


莫迪利亚尼和安多利用美国1929年~1959年的数据得出了消费函数统计估计式为:

如果人口的年龄分布和收入分配是相当稳定的,消费者的时间偏好率也是相当稳定的,那么可以通过个量加总的方法得到一个与上式形式相同的稳定的总消费函数,即AndoModigliani消费函数。在短期的周期性波动过程中,资产存量是相当稳定的,即kat是稳定的,于是形成短期的消费函数。在长期,随着储蓄行为引起的资产存量不断增加,即kat不断增加,短期消费函数不断向上移动,形成长期消费函数。这样,Ando-Modigliani消费函数就可以解释库兹涅茨悖论 (Kuznets Paradox)。首先,如果随机地选择一个人口样本,并根据收入对它进行分类,根据生命周期假定,高收入组所包括的中年人的比例必然较高,消费在其收入中所占的比例必然较低。同样,低收入组里所包括的青年人和老年人的比例必然较高,消费在其收入中所占的比例必然较高。因此,收入水平越高的样本组,平均消费倾向越低,这就说明了在横截面资料研究中MPC比例假设”,也是生="" 命周期模型被称为="" “持久财产假定”="" 的原因。="" 如果放弃上述的方便性假设,生命周期假定的="" 意义仍不变,虽然这时消费和整个生命周期财="" 产之间不再是一种精确的比例关系,但仍可看="" 到,现期消费仍是消费者整个生命周期财产的="" 函数。因此,现期收入的变化一般只是通过对="" 总的财产较小的影响来影响现期消费的。=""
生命周期假定自提出以来曾被用于分析广泛的经济问题,如货币政策和财政政策对消费和经济活动的影响、遗产和收入分配、人力资本投资、劳动力供给的生命周期、经济增长和储蓄的关系以及社会保障的效果等问题,并且得到了经验验证。生命周期假定是宏观经济学创立以来第一次有意识地寻求微观基础的尝试,它的魅力就在于能够运用比较成熟的最优化方法来建立宏观经济模型。因此,它成为后来包括理性预期模型在内的消费函数理论的基础。它与持久收入理论的不同之处是它对消费者最优化行为和非人力资产对消费的影响的有意识的强调。
后来的实证研究表明,消费者生命周期的财富呈明显的驼峰形状,但随着年龄增加,财富的下降率比莫迪利亚尼预测的要慢。这说明需要强调遗产和不确定性才能解释这种现象。因此作为 “原型” 的生命周期假定理论有两个缺陷: (1) 对不确定性重视不够。如在估计未来预期劳动收入时,它假定未来预期劳动收入是现期劳动收入的某一比例。这意味着生命周期假定认为现期劳动收入的变动是持久性的。但事实上,现期劳动收入的变动很可能是暂时性的。(2) 生命周期假定认为老年人是负储蓄者,但实际上,老年人往往是正储蓄者,这可能是由于遗产动机和不确定性双重原因造成的。在一定程度上,上述缺陷降低了生命周期假定解释预算研究结果的能力。
☚ 持久收入假定   消费品存量调整假定 ☛
00000273
随便看

 

离鸟网收录3541549条中英文词条,其功能与新华字典、现代汉语词典、牛津高阶英汉词典等各类中英文词典类似,基本涵盖了全部常用中英文字词句的读音、释义及用法,是语言学习和写作的有利工具。

 

Copyright © 2004-2024 vtrois.com All Rights Reserved
更新时间:2026/4/20 12:11:25