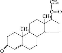
黄体酮[典]
C21H30O2=314.47 CAS-57-83-0 朵-4-烯-3,20-二酮。 Pregn-4-ene-3,2O-dione. 黄体酮。 Progesterone. 孕激素类药。 用于先兆性、习惯性流产,月经不调,子宫功能性出血等。 黄体素(台),孕酮。 Progesterone,Syngesterone,Progestin,Lipolutin, Membrettes,Nalutron,Syngestrets. 黄体酮注射液,黄体酮水悬注射液,黄体素注射液(台)。 INN,BP,DCF,DCIT,EP,FP,GDP,IP,JP,NFN,USAN,USP,USSRP,MI.  |