网站首页  词典首页


请输入您要查询的字词:

 

字词 核糖核酸和脱氧核糖核酸的酶促合成
类别 中英文字词句释义及详细解析
释义
核糖核酸和脱氧核糖核酸的酶促合成

核糖核酸和脱氧核糖核酸的酶促合成

核糖核酸(RNA)的酶促合成是指借助于用酶催化实现的RNA合成。在RNA合成中最重要的一个工具酶是T4 RNA 连接酶。它是1971年由 Silber等人发现的。T4RNA连接酶能够催化核苷-3′,5′-二磷酸或RNA片段的5’磷酸(供体)与另一个RNA片段的3′羟基(受体)连接生成3′-5′磷酸二酯键。反应要求有ATP存在,第一步是供体的5′磷酸先与ATP反应生成活化中间体,然后再与受体的3′羟基进行连接。反应温度因片段的不同可以在5~37℃范围内变化;反应时间则随温度的降低而增长。如果供体片段本身也有3′末端羟基,则可能发生供体的自身环化和聚合反应。为了避免这个副反应,需要将供体的3′末端羟基保护起来。一个比较好的办法是采用3′末端和5′末端都带有磷酸的RNA片段作为供体。反应一般都能得到很好的产率,有时甚至可以接近定量产率。我国科学工作者王德宝等人在酵母丙氨酸转移核糖核酸的全合成中成功地利用了T4 RNA连接酶的酶促合成反应。图1表示由6个大片段来合成的酵母丙氨酸转移核糖核酸的结构和分段位置。
除去T4RNA连接酶以外,多核苷酸磷酸化酶和核糖核酸酶的水解逆反应也可用来在一定条件下合成RNA片段。多核苷酸磷酸化酶能够催化核苷二磷酸(NDP)的聚合,多核苷酸的磷酸解和NDP与磷酸之间的交换反应。反应需要Mg++或Mn++的激活。在有短片段的引物存在下,多核苷酸磷酸化酶可以催化NDP在引物上的聚合。这时,如果将核苷二磷酸的2′羟基用适当的基团保护以后,则反应的结果得到在3′端接长一个核苷酸的产物。例如由三核苷二磷酸可以得到高产率的四核苷三磷酸。

图1 酵母丙氨酸转移核糖核酸的结构和6个合成大片段及两个半分子的分段
G·C和A·U是互补碱基之间配对并形成氢键;m′G为1-甲基鸟苷;D为二氢尿苷;m22G为2,2-二甲基鸟苷;Ⅰ为肌苷;m′Ⅰ为1-甲基一肌苷;ψ为假尿苷;T为核糖胸苷;——为大片段分段处; |——|为半子分段处。


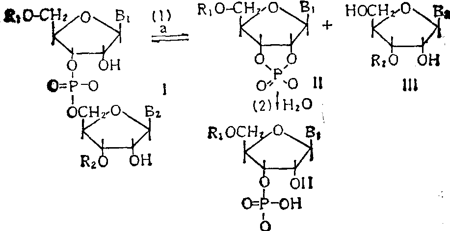
核糖核酸酶的主要作用是催化水解RNA。在核糖核酸酶中有一类酶,如牛胰核糖核酸酶、核糖核酸酶T1和N1等,其水解RNA的过程是首先在专一的位置上作用生成2′,3′-环磷酸,然后再进一步水解开环生成3′磷酸(图2)。由于前一个反应是一个可逆的平衡反应,因此在一定的条件下可以利用反应的逆转由图2中的化合物Ⅱ和Ⅲ为原料合成化合物Ⅰ。例如从CUCG>P与UCCA在核糖核酸酶T2催化作用下可得到21%产率的CUCGUCCA纯品。

图2 核糖核酸酶水解RNA的反应


脱氧核糖核酸(DNA) 的酶促合成是指借助于用酶催化实现的DNA合成。DNA合成中最重要的工具酶是脱氧核糖核酸连接酶。目前已用于合成的有二种,一种是大肠杆菌DNA连接酶,另一种是T4噬菌体感染大肠杆菌后产生的T4 DNA连接酶。两者都能催化DNA双股链中单股缺口处的5′磷酸和3′羟基连接生成3′-5′磷酸二酯键。反应分二步进行。首先是酶和辅助因子(NAD或ATP)反应生成磷酰化酶,后者使DNA缺口处的磷酸以焦磷酸键的形式活化,最后再发生连接反应(图3)。
大肠杆菌DNA连接酶与T4DNA连接酶之间的区别不仅在于两者所需要的辅助因子不同(前者是NAD,后者是ATP),而且两者所能作用的底物也略有不同。前者只能连接DNA双链中的单链缺口,即只能实现粘接(图4),后者则不仅能实现粘接,也能进行平头连接(图5)。
利用DNA连接酶的这一性质,能够把化学合成的具有互补又能粘接的DNA小片段连接成较大的双链片段,然后再进一步连接成更大的片段,直至所需要合成的链长为止。人α干扰素基因的合成即是采用了这个方法。即由67个化学合成片段用T4 DNA连接酶连接成11个较小的双链,然后再连接成4个较大的双链,最后连接成有514个碱基对(bp)的基因。

图3 DNA连接酶的作用机制E-(lys)-NH3+为DNA连接酶。

图4 DNA双链的粘接

图5 DNA双链的平头连接


大肠杆菌DNA聚合酶Ⅰ经枯草杆菌蛋白酶降解后得到的DNA聚合酶Ⅰ大片段(又称Klenow酶)仍然保存了聚合酶的活性,但丧失了从5′→ 3′的外切酶活性,因而可以成功地用于合成以DNA为模板的DNA互补链。
此外,从鸡的成髓细胞瘤病毒得到的反转录酶不仅可以用RNA为模板,以短链DNA为引物反转录出与模板RNA互补的cDNA,而且也具有以DNA为模板的DNA聚合酶的性质,因而可以用来由合成的DNA单链在引物片段的存在下制备DNA双链。图6即是应用DNA聚合酶和反转录酶进行互补链合成的一个实例。

图6 应用DNA聚合酶和反转录酶进行互补链的合成


人工合成核酸不仅是一个重要的研究领域,也是一个十分有用的技术手段。通过这个手段,人们可以研究分子生物学中的许多重要问题。例如:
❶人工合成基因和具有重要生物功能的RNA分子;
❷研究核酸的结构与功能关系和核酸与蛋白质的相互作用;
❸研究基因的表达与调控规律并进行基因突变和基因改造;
❹研究核酸的溶液构象、晶体结构和高级结构的特征与规律;
❺人工合成的具有特定顺序的寡聚DNA片段还可作为引物、探针及产生新的限制性内切酶位点的接头片段,因而在DNA顺序分析、重组DNA、基因工程、基因检测和早期诊断等各个方面具有重要的应用价值。可以相信,随着合成方法的不断改进和完善,核酸合成必将在今后的分子生物学和医学发展中显示出更大的作用。
☚ 核酸的固相合成   脱氧核糖核酸的化学组成 ☛
00006746
随便看

 

离鸟网收录3541549条中英文词条,其功能与新华字典、现代汉语词典、牛津高阶英汉词典等各类中英文词典类似,基本涵盖了全部常用中英文字词句的读音、释义及用法,是语言学习和写作的有利工具。

 

Copyright © 2004-2024 vtrois.com All Rights Reserved
更新时间:2026/4/20 4:53:03