网站首页  词典首页


请输入您要查询的字词:

 

字词 对象、测量元件、调节机构和调节器的特性
类别 中英文字词句释义及详细解析
释义 对象、测量元件、调节机构和调节器的特性

(一)调节对象的特性

调节对象特性就是指输入量(物料)和输出量(被调参数)之间的函数关系。其中包括有:

放大系数K,指对象输出幅值和输入幅值之比,也称为对象的静态特性。

时间常数T:表征对在一定输入下,输出变化快慢程度的参数。

滞后时间τ,指对象从输入开始到输出量开始变化的这一段时间。一般称τ为纯滞后,有时称T和τ为对象的动特性。

对象动特性是在设计自动调节系统时作为确定方案,分析质量指标,探索最佳工况,以及调节器参数整定的重要依据。

(二)测量元件特性

测量元件和变送器的特性和对象一样,可用放大系数Km时间常数Tm和滞后时间τm三个特性参数来表示。三者对调节质量的影响也和对象特性参数相似,选取测量元件时应尽可能选用滞后小的元件,在安装中也要注意避免测量滞后。

(三)调节机构的特性

调节机构特性也和对象特性一样,用表征静态特性放大系数(调节介质流量与调节机构开度之比)和表征动态特性的时间常数和滞后时间来表征。以调节阀来说,调节阀的尺寸是直接与放大系数有关。调节阀的滞后是和阀的尺寸、制造工艺和安装状况有关。调节阀的滞后会降低系统的调节质量。

(四)调节器的特性

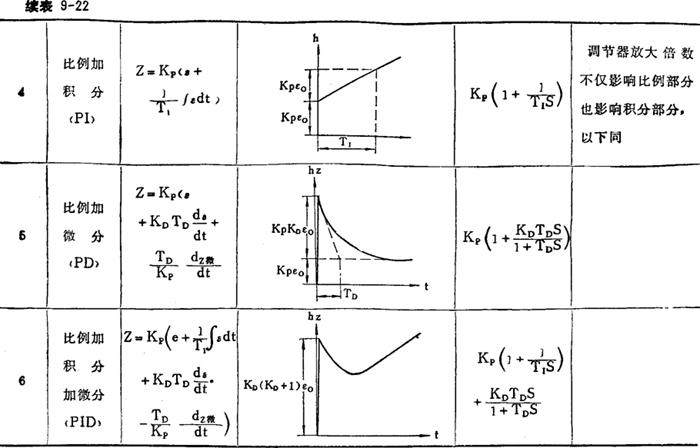
调节器的特性或称调节器的调节规律,这些调节规律的种类及数学方程式,在阶跃(即迅速一下子)输入下的输出特性,以及传递函数等详见表9-22。

表9-22 调节规律的分类

表内数学式中K是比例常数即调节器的放大倍数。在一般调节器上不用比例常数K作为刻度,而用比例度δ(或称比例带)来刻度,,比例度δ的具体意思是使输出变化满刻度时,所要求仪表指示指针移动满刻度的百分数。

T1是积分时间,是指在比例加积分作用的调节器中输入一阶跃信号,取积分作用的输出等于比例作用的输出的一段时间t,就是积时间。

随便看

 

离鸟网收录3541549条中英文词条,其功能与新华字典、现代汉语词典、牛津高阶英汉词典等各类中英文词典类似,基本涵盖了全部常用中英文字词句的读音、释义及用法,是语言学习和写作的有利工具。

 

Copyright © 2004-2024 vtrois.com All Rights Reserved
更新时间:2026/4/18 22:55:38