网站首页  词典首页


请输入您要查询的字词:

 

字词 中位数
类别 中英文字词句释义及详细解析
释义 中位数

将总体单位的某一数量标志的各个数值按大小顺序排列,居于中间位置的那个数值就是中位数。

中位数也是一种代表值,可以代替算术平均数来反映某种现象的一般水平。

中位数的计算方法,要根据所掌握的资料而定,一般可分为两种情况:一是资料未经分组;二是资料已经分组。

1.在资料未分组时确定中位数的方法。

如果总体单位的项数是奇数,则居中间位置的那个标志值就是中位数。

假设有7个工人生产某种产品,他们的日产量(件)按顺序排列是:4、4、6、8、9、12、14、。则:

,即第四个工人的日产量8件为

中位数。

如果总体单位数是偶数,则中间位置的两个标志值的算术平均数为中位数。

假设上例资料为8人,另一工人的产量为15。则:中位数位置

中位数的第四和第五个工人的日产量的算术平均数,即(8+9)÷2=8.5(件)。

2.在资料已分组情况下确定中位数的方法。

在组距数列条件下确定中位数,按下列步骤进行。

第一步,确定中位数所在组。

把整个数列中的总体单位数(或总次数)除以2。

第二步,按照下限公式或上限公式确定中位数的近似值。

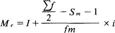
下限公式为:

式中:

Me代表中位数;

I代表中位数所在组的下限;

fm代表中位数所在组的次数;

Sm-1代表中位数所在组以下的累计次数;

∑f代表总次数;

i代表中位数所在组的组距。

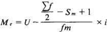
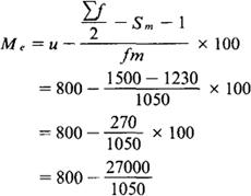
上限公式为:

式中:

U代表中位数所在组的上限;

Sm+1代表中位数所在组以上的累计次数。

下限公式和上限公式,都是以中位数所在组内的次数均匀分配为前提的,用这两个公式计算的数值只是中位数的近似值。

例如,某地农户年收入情况如下表:

中位数在第三组内。

从表中资料可知:

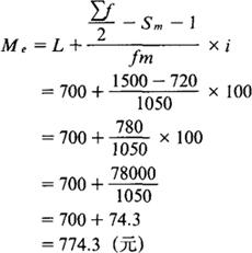
L=700 fm=1050 u=800

i=100 Sm-1=720 Sm+1=1230

按下限公式计算中位数:

按上限公式计算中位数:

=800-25.7=774.3(元)

随便看

 

离鸟网收录3541549条中英文词条,其功能与新华字典、现代汉语词典、牛津高阶英汉词典等各类中英文词典类似,基本涵盖了全部常用中英文字词句的读音、释义及用法,是语言学习和写作的有利工具。

 

Copyright © 2004-2024 vtrois.com All Rights Reserved
更新时间:2026/4/18 5:33:39