网站首页  词典首页


请输入您要查询的字词:

 

字词 饮料中咖啡因的测定方法(摘自GB/T16344)
类别 中英文字词句释义及详细解析
释义

饮料中咖啡因的测定方法(摘自GB/T16344)


本标准规定了可乐型饮料、咖啡、茶叶及其制成品中咖啡因含量的测定方法——紫外分光光谱法和高效液相色谱法(HPLC)。

本标准适用于可乐型饮料、咖啡、茶叶及其制成品中咖啡因的测定。

(一)紫外分光光谱法

1.原理

咖啡因的三氯甲烷溶液在276.5nm波长下有最大吸收,其吸收值的大小与咖啡因浓度成正比,从而可进行定量。

2.试剂

本标准所用试剂均为分析纯试剂,实验用水为蒸馏水。

(1)无水硫酸钠。

(2)三氯甲烷 使用前重新蒸馏。

(3)15g/L高锰酸钾溶液 称取1.5g高锰酸钾,用水溶解并稀释至100mL。

(4)亚硫酸钠和硫氰酸钾混合溶液 称取10g无水亚硫酸钠(Na2SO3),用水溶解并稀释至100mL。另取10g硫氰酸钾,用水溶解并稀释至100mL,然后二者均匀混合。

(5)15%(体积分数)磷酸溶液 吸取15mL磷酸置于100mL容量瓶中,用水稀释至刻度,混匀。

(6)200g/L氢氧化钠溶液 称取20g氢氧化钠,用水溶解,冷却后稀释至100mL。

(7)200g/L乙酸锌溶液 称取20g乙酸锌[Zn(CH3COO)2·2H2O],加入3mL冰乙酸,用水溶解并稀释至100mL。

(8)100g/L亚铁氰化钾溶液 称取10g亚铁氰化钾[K4Fe(CN)6·3H2O]用水溶解并稀释至100mL。

(9)咖啡因标准品 含量98.0%以上。

(10)咖啡因标准储备液 根据咖啡因标准品的含量用重蒸三氯甲烷配制成每毫升相当于0.5mg咖啡因的溶液,置于冰箱中保存。

3.仪器

紫外分光光度计。

4.分析步骤

(1)样品的处理

①可乐型饮料:在250mL的分液漏斗中,准确移入10.0~20.0mL经超声脱气后的均匀可乐型饮料试样,加入1.5%高锰酸钾溶液5mL,摇匀,静置5min,加入混合溶液10mL,摇匀,加入15%磷酸溶液1mL,摇匀,加入20%氢氧化钠溶液1mL,摇匀,加入50mL重蒸三氯甲烷,振摇100次,静止分层,收集三氯甲烷。水层再加入40mL重蒸三氯甲烷,振摇100次,静置分层。合并二次三氯甲烷萃取液,并用重蒸三氯甲烷定容至100mL,摇匀,备用。

②咖啡、茶叶及其固体制成品:在100mL烧杯中称取经粉碎成低于30目的均匀样品0.5~2.0g,加入80mL沸水,加盖,摇匀,浸泡2h,然后将浸出液全部移入100mL容量瓶中,加入20%乙酸锌溶液2mL,加入10%亚铁氰化钾溶液2mL,摇匀,用水定容至100mL,摇匀,静置沉淀,过滤。取滤液5.0~20.0mL按①操作进行,制备成100mL三氯甲烷溶液,备用。

③咖啡或茶叶的液体制成品:在100mL容量瓶中准确移入10.0~20.0mL均匀样品,加入20%乙酸锌溶液2mL,摇匀,加入10%亚铁氰化钾溶液2mL,摇匀,用水定容至100mL,摇匀,静置沉淀,过滤。取滤液5.0~20.0mL按①操作进行,制备成100mL三氯甲烷溶液,备用。

(2)标准曲线的绘制

从0.5mg/mL的咖啡因标准储备液中,用重蒸三氯甲烷配制成浓度分别为0,5,10,15,20μg/mL的标准系列,以0μg/mL作参比管,调节零点,用1cm比色杯于276.5nm下测量吸光度,作吸光度-咖啡因浓度的标准曲线或求出直线回归方程。

(3)样品的测定

在25mL具塞试管中,加入5g无水硫酸钠,倒入20mL样品的三氯甲烷制备液,摇匀,静置。将澄清的三氯甲烷用1cm比色杯于276.5nm测出其吸光度,根据标准曲线(或直线回归方程)求出样品的吸光度相当于咖啡因的浓度c(μg/mL),同时用重蒸三氯甲烷作试剂空白。

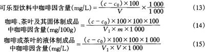
5.结果

(1)计算

式中 c——样品吸光度相当于咖啡因浓度,μg/mL

c0——试剂空白吸光度相当于咖啡因浓度,μg/mL

m——称取样品的质量,g

V——移取样品的体积,mL

V1——移取样品处理后水溶液的体积,mL

(2)在本实验条件下

本法仪器检出限为0.2μg/mL,方法检出限可乐型饮料为3mg/L,咖啡、茶叶及其固体制成品为5mg/100g,咖啡或茶叶的液体制品为5mg/L。

标准曲线线性范围:0.0~30.0μg/mL。

相关系数:0.999。

方法回归率:90.1%~101.8%。

相对标准偏差:小于4.0%。

(3)允许差

同一实验室平行测定或重复测定结果的相对偏差绝对值可乐型饮料为10%,咖啡、茶叶及其制品为15%。

(二)高效液相色谱法(HPLC)

1.原理

咖啡因的甲醇液在286nm波长下有最大吸收,其吸收值的大小与咖啡因浓度成正比,从而可进行定量。

2.试剂

(1)甲醇 HPLC试剂。

(2)乙腈 HPLC试剂。

(3)三氯甲烷 分析纯(必要时须重蒸)。

(4)超纯水(18.2MΩ)。

(5)无水硫酸钠 分析纯。

(6)氯化钠 分析纯。

(7)咖啡因标准品 纯度98%以上。

3.仪器和设备

(1)液相色谱。

(2)色谱柱 BondapakTMC18(30cm×3.9mmid)。

(3)预柱 RESAVETMC18。

(4)超声清洗器(CQ250)。

(5)混纤微孔滤膜。

4.分析步骤

(1)样品的处理

①可乐型饮料

a)脱气:样品用超声清洗器在40℃下超声5min。

b)过滤:取脱气试样10.0mL通过混纤微孔滤膜过滤,弃去最初的5mL,保留后5mL备用。

②咖啡、茶叶及其制成品:称取2g已经粉碎且小于30目的均匀样品或液体样品放入150mL烧杯中,先加2~3mL超纯水,再加50mL三氯甲烷,摇匀,在超声处理机上萃取1min(30s二次),静置30min,分层。将萃取液倾入另一150mL烧杯。在样品中再加50mL三氯甲烷,重复上述萃取操作步骤,弃去样品,合并二次萃取液,加入少许无水硫酸钠和5mL饱和氯化钠,过滤,滤入100mL容量瓶中,用三氯甲烷定容至100mL。最后取10mL滤液按b)操作进行。

(2)色谱条件

①流动相:甲醇∶乙腈∶水=57∶29∶14(每升流动相中加入0.8mol/L乙酸液50mL)。

②流动相的流速:1.5mL/min。

③进样:可乐型饮料10μL,茶叶、咖啡及其制成品5~20μL。

(3)标准曲线的绘制用甲醇配制成咖啡因浓度分别为0,20,50,100,150μg/mL的标准系列,然后分别进样10μL于波长为286nm处测量峰面积,作峰面积-咖啡因浓度的标准曲线或求出直线回归方程。

(4)样品测定从试样中吸取可乐饮料10μL或咖啡、茶叶及其制品5mL,进样,于286nm处测其峰面积,然后根据标准曲线(或直线回归方程)得出样品的峰面积相当于咖啡因的浓度c(μg/mL)。同时作试剂空白。

5.结果计算

可乐型饮料中咖啡因含量(mg/L)=c (16)

(17)

式中 F——进样量,是5μL的倍数

在本实验条件下,本法仪器检出限为0.72μg/mL,方法检出限:可乐型饮料为0.72mg/L,咖啡、茶叶及其制品为1.8mg/100g。

标准曲线线性范围:0.0~150.0μg/mL。

相关系数:0.999。

方法回收率:91.9%~105.8%。

相对标准偏差:小于2%。

允许差:同一实验室平行测定或重复测定结果的相对偏差绝对值可乐型饮料为5%,咖啡、茶叶及其制品为10%。

附录A(提示的附录)饮料中咖啡因的测定方法

A1 方法研制及验证结果

方法研制及验证结果见表A1及表A2。

表A1 紫外分光光谱法研制及验证结果

表A2 高效液相色谱法研制及验证结果

A2 方法评价

紫外分光光谱法和高效液相色谱法,方法简单,快速稳定、准确、灵敏度高、干扰物排除能力强,适用于各层次实验室对饮料中咖啡因含量的测定。

随便看

 

离鸟网收录3541549条中英文词条,其功能与新华字典、现代汉语词典、牛津高阶英汉词典等各类中英文词典类似,基本涵盖了全部常用中英文字词句的读音、释义及用法,是语言学习和写作的有利工具。

 

Copyright © 2004-2024 vtrois.com All Rights Reserved
更新时间:2026/4/19 23:35:54