网站首页  词典首页


请输入您要查询的字词:

 

字词 上辊为普通结构辊而下辊为中固辊的搭配计算
类别 中英文字词句释义及详细解析
释义 上辊为普通结构辊而下辊为中固辊的搭配计算

【说明】 这种搭配方式常见于旧式纸机的改造。该种搭配方式中上下两辊的总中高度计算如下。

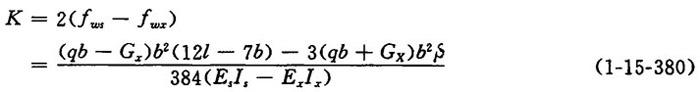
【公式】

式中 fws——上辊的弯矩挠度(m)

fwx——下辊的弯矩挠度(m)

q——线压力(N/m)

K——总中高度(m)

【例】 已知条件如下:

花岗岩上辊外径Ds=600mm

花岗岩辊壳内径Ds′=220mm

上辊芯轴直径ds=170mm

上、下辊辊面宽度b=2950mm

上辊轴承中心距ls=3400mm

最大线压qmax=35kg/cm

花岗岩上辊重量Gs=3100kg

选定的下辊(中固辊)有关参数:

花岗岩的纵向弹性模数Es1=5.3×105kg/cm2

花岗岩上辊中的水泥填塞层的纵向弹性模数Es2=2×105kg/cm2

钢质芯轴(上、下辊材质相同)的纵向弹性模数Est=2.1×106kg/cm2

中固辊铸铁辊壳的纵向弹性模数Ec=1×106kg/cm2

中固辊外径(包括胶层)D=550mm

中固辊辊壳外径Dx=500mm

中固段以外的辊壳内径Dx′=400mm

中固段芯轴直径d=300mm

中固辊重量Gx=1750kg

中固辊长度c=300mm

中固辊长与辊面宽度比m===0.102

中固辊轴承中心距lx=3445mm

计算步骤及结果

❶ 花岗岩上辊刚度的计算

EsIs=Es1Is1+Es2Is2+EstIsts

=5.3×105×(604-224)+2×105×(224-174)+2.1×106××174

=347500×106(kg·cm2)

=340.90×106(N·m2)

❷ 上辊在最大线压力qmax下的挠度

fws=(12l-7b)

=(12×34-7×295)

=0.0095(cm)≈0.1(mm)

❸ 中固辊在中固段以外的辊壳刚度计算

Ex2Ix2=EcIx2=1×106×(502-402)

=184500×106(kg·cm2)

❽ 中固辊在最大线压力下的挠度计算

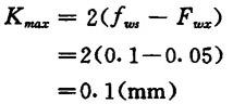
❾ 在最大线压下的中高度Kmax

即0.1mm的总中高度分配到花岗岩上辊和中固下辊上之后,各辊的中高度约仅为0.05mm左右。

随便看

 

离鸟网收录3541549条中英文词条,其功能与新华字典、现代汉语词典、牛津高阶英汉词典等各类中英文词典类似,基本涵盖了全部常用中英文字词句的读音、释义及用法,是语言学习和写作的有利工具。

 

Copyright © 2004-2024 vtrois.com All Rights Reserved
更新时间:2026/4/19 23:14:50