网站首页  词典首页


请输入您要查询的字词:

 

字词 水溶液中的离子活度系数(25℃)
类别 中英文字词句释义及详细解析
释义

水溶液中的离子活度系数(25℃)


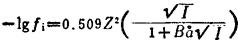
表中所列数据由Debye-Huckel公式

计算得到。其中B=0.328 Z,离子电荷;

I离子强度,离子大小参数,单位为埃(10-10米)。

随便看

 

离鸟网收录3541549条中英文词条,其功能与新华字典、现代汉语词典、牛津高阶英汉词典等各类中英文词典类似,基本涵盖了全部常用中英文字词句的读音、释义及用法,是语言学习和写作的有利工具。

 

Copyright © 2004-2024 vtrois.com All Rights Reserved
更新时间:2026/4/19 4:05:44