网站首页  词典首页


请输入您要查询的字词:

 

字词 天然抗癌药
类别 中英文字词句释义及详细解析
释义
天然抗癌药

天然抗癌药

天然抗癌药是指来源于微生物、动、植物的有抗肿瘤作用的化学药物。天然产物治疗肿瘤已有悠久历史,而系统的研究始于50年代。
现在临床较广泛应用的植物成分有长春碱类和表鬼臼甙类,近来研究的还有三尖杉酯碱类和喜树碱类。以上药物均另立条目,且已在我国临床应用。此外,对动物移植性肿瘤有活性的成分根据结构类型概述如下:
帖类 单萜和倍半萜中有活性的化合物大部分为具有环外双键的α,β不饱和内酯,已筛选200多个倍半萜内酯,但至今未有值得注意的化合物。倍半萜单端孢菌素(trichothecanes)类的8个巴卡林 (baccharins)化合物,T-2毒素和蛇形菌素(anguidin),均对小鼠白血病P388有效,对各个巴卡林类的研究在深入中。蛇形菌素现在Ⅱ期临床试用。

蛇形菌素

雷公藤内酯R=H

羟基雷公藤内酯R=OH


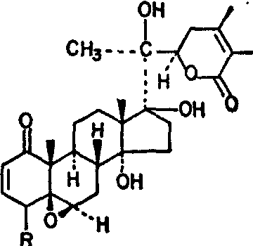
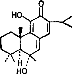
二萜类中有从卫矛科雷公藤属(Triptery gium)中提得的雷公藤内酯(triptolide)和羟基雷公藤内酯 (tripdioli-de),根据其对小鼠L1210白血病的活性,现正进行临床前药理工作。从唇形科香茶菜属冬凌草(Rabdosia rube-sens)分得冬凌素甲(oridonin)和冬凌素乙(ponicidin),我国已试用于临床,对食管癌、贲门癌等有稳定或缩小瘤体和缓解症状的效果。东北红豆杉属(Taxus cuspidata)成分紫杉素(taxol)对小鼠白血病和B16黑色素瘤均有活性,自落羽松(Taxodium distichum)分得有活性的醌亚甲基化合物紫杉酮(taxodone)和紫杉二酮(taxodione)。

冬凌素甲

冬凌素乙

紫杉素

紫杉酮

紫杉二酮


三萜降解生成的苦味内酯——苦木素,存在于苦木科植物中,如从Brucea javanica和Brucea antidysente-rica所得的鸦胆子苦素B(bruceantin)的活性高,且剂量范围宽,对小鼠结肠瘤38,白血病L1210和P388以及B16黑色素瘤有抑制作用,现在临床Ⅱ期试用。

鸦胆子苦素B

睡茄素E R=H

4-羟睡茄素ER=OH


由睡茄(Withania somnifea)中分得的甾体内酯睡茄素E(withanolide E)和4羟睡茄素E对B16黑色素瘤有较高活性,后者在发展阶段。其它的三萜类化合物如葫芦素和强心甙等在体外有较好的活性,但在体内毒性较大。


萘醌型的拉伯醇(lapachol)存在于紫葳科羽叶楸(Ste-reospermum tetragonum)对Walker癌肉[瘤256有]活性,于1967年进入临床Ⅰ期试用。二氯拉伯醇(dichlo-roallyl lawsone)对Walker癌肉瘤256的抑制率比拉伯醇高,且能成盐作注射剂。临床前毒理试验表明对心脏有毒性,在临床Ⅰ期试用。
在体内筛选有抗肿瘤活性的生物碱为数较多,自1965年始推荐临床试用的有十余个,其中因疗效不肯定或因毒性停止试用的有唐松草碱、汉防己甲素、光叶花椒碱、吐根碱、密花娃儿藤碱等。还在试用的有由夹竹桃玫瑰属(ochrosia)植物中分出的玫瑰树碱 (ellipticine),它对动物移植性肿瘤抑制率显著,且对结肠癌26、结肠癌38有效,腹腔注射引起对狗心脏毒性。该化合物口服有效,故将以口服剂型试用于临床。衍生物9-甲氧玫瑰树碱乳酸盐和9-羟-2-甲基玫瑰树碱在欧洲临床试用,对人体肿瘤有一定疗效。
双稠吡咯啶的大尾摇碱(indicine N-oxide)毒性低,可耐受每周4g的用量,现已进入Ⅱ期试用。石蒜碱的抗肿瘤活性不显著,但其衍生物石蒜銨盐(lycobetaine)现在我国临床试用,报道对胃癌和卵巢癌有一定疗效。

玫瑰树碱R=H

9-甲氧玫瑰树碱R=OCH3

大尾摇碱

石蒜铵盐


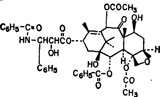
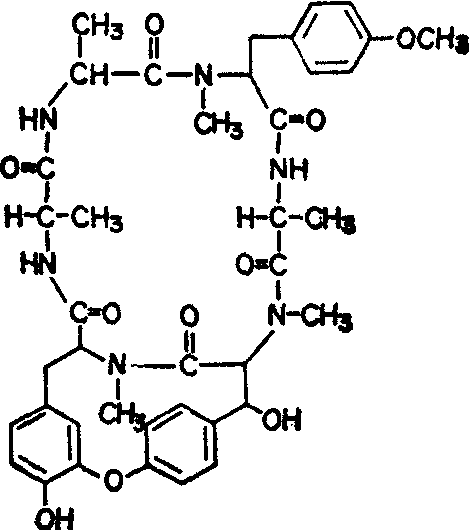
其它类型的化合物有柄型大环内酯的美登素(见“美登素”条)已在临床Ⅱ期试用。1977年从Bouvardiaternifolia提出的环肽成分bouvardin对小鼠白血病P388和B16黑色素瘤有抑制作用,而对其它瘤谱无活性。虽抗瘤谱窄,但由于它的特殊结构,颇得重视。此外从植物和真菌中提出的某些多糖,通过调节机体免疫而表现抗肿瘤活性(见“免疫增强剂”条)。

bouvardin


动物成分有地胆科斑蝥属昆虫(Myladris sidae)体内所含的单萜酐——斑蝥素(cantharidin),其衍生物羟基斑蟊胺(毒性为母体的1/500)对实验动物肿瘤有抑制作用,在我国临床试用表明对肝癌、乳腺癌有一定的疗效。从海洋被囊类动物分离得多肽(depsipeptide)对B16黑色素瘤有效,正在进行临床前准备。

斑蝥素

羟基斑蝥胺


从天然产物寻找有抗肿瘤活性的成分,虽盲目性大,但它仍是提供新抗肿瘤药的一种有效途径,而且可获得新型结构和具有特殊作用机制的活性成分,能为抗肿瘤药物研究提供新的线索。
☚ 靛玉红   长春碱类 ☛
00005701
随便看

 

离鸟网收录3541549条中英文词条,其功能与新华字典、现代汉语词典、牛津高阶英汉词典等各类中英文词典类似,基本涵盖了全部常用中英文字词句的读音、释义及用法,是语言学习和写作的有利工具。

 

Copyright © 2004-2024 vtrois.com All Rights Reserved
更新时间:2026/4/20 0:42:27