克劳德程序Crowder program
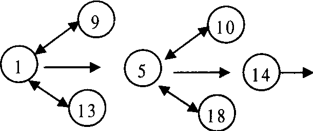
美国心理学家克劳德根据他训练军事人员的经验编制的一种可变程序模式。其特点是分支程序,亦称内在程序,要求学生做多重选择反应。他认为,编写使学生完全避免错误的程序几乎是不可能的,他试图根据学生可能出现的各种错误来编制程序。其基本做法是:把学习材料分成小的逻辑单元,每一步比直线式程序的步子大,每个项目的内容也较多,学生掌握一个逻辑单元❶之后就对他进行有关材料的测验。测验用多重选择反应进行,依测验结果定下一步的学习内容。如果选择了正确答案,表明他已理解所学材料,可进入新单元学习;如果做了错误选择,则表明他尚未理解或只部分理解所学内容,就被引入分支的补充程序,告诉他错误的性质并给他学习些补充知识以纠正其错误,然后再回到第一逻辑单元重学或重选答案。对于“快”的学习者来说,可不需补充程序的帮助,按直线方式径直通过主程序,如❶→
❺→(14);而对于“慢”的学习者则可根据其情况,经过补充程序的帮助学完全部主程序。其模式如下:
