网站首页  词典首页


请输入您要查询的字词:

 

字词 信使核糖核酸的结构
类别 中英文字词句释义及详细解析
释义
信使核糖核酸的结构

信使核糖核酸的结构

信使核糖核酸(mRNA)是带有从DNA上转录得到的蛋白质结构信息,并作为模板在核糖体上合成蛋白质的一类RNA分子。mRNA占细胞RNA 总量的3~5%,平均分子量为500,000,沉降系数为8s。但不同的mRNA在长度和平均分子量上有很大的差异 (表)。在大肠杆菌中,mRNA的平均长度为900~1500个核苷酸残基,可以编码300~500个氨基酸,而蚕丝心蛋白mRNA则含有19,000个核苷酸残基。

真核生物mRNA的分子大小及其聚腺苷酸长度

mRNA整分子核苷酸数编码区核苷酸数聚腺苷酸核苷酸数测长度方法
鼠胰岛素
兔珠蛋白
354
α 551
β 589
258
423
438
30~40序列分析
序列分析
人β珠蛋白626444 序列分析
小鼠珠蛋白
小鼠免疫球蛋白轻链
肌球蛋白重链
牛眼α-A2晶体
蚕丝心蛋白
海胆组蛋白H4
两栖动物卵母细胞组蛋白Hs
703
1,200
6,500
1,460
19,000
400~420
-
463(平均)
660
5,370
520
16,000
306
-
40、60、100
200
170
200
100

凝胶电泳
凝胶电泳
凝胶电泳
凝胶电泳
凝胶电泳
凝胶电泳和序列分析
小鼠胰α-淀粉酶
小鼠唾液腺α-淀粉酶
小鼠肝α-淀粉酶
小鼠肝α-淀粉酶
1,577
1,659
1,773(主)
1,806(次)
1,524
1,533
-
-
-
-
DNA序列分析
序列分析
序列分析
序列分析

原核和真核生物的mRNA有不同的结构。原核生物mRNA在结构上十分相似于噬菌体R17、MS2、Qβ和f2RNA,它的典型结构是多顺反子的,即一个操纵子负责的一段转录产物能对几条多肽链编码。原核mRNA由5′端不翻译区、翻译区(常常编码几个蛋白质)和3′端不翻译区构成。分子中一般没有修饰成分。大肠杆菌乳糖操纵子mRNA编码3条多肽链;色氨酸操纵子编码5条多肽链。也有单顺反子形式的细菌mRNA,如大肠杆菌脂蛋白mRNA。真核生物mRNA通常是单顺反子结构,由5′端帽子结构、5′端不翻译区、翻译区、3′端不翻译区和3′端聚腺苷酸组成(图1)。

图1 真核生物mRNA结构示意图


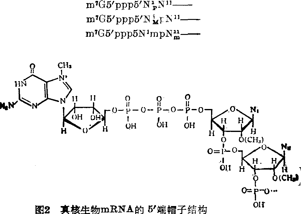
5′端帽子结构 真核mRNA的5′端帽子结构见图2。从图中可见真核mRNA的5′端三磷酸的γ-磷酸与7-甲基鸟苷的5′羟基共价地相连接,构成了真核mRNA的5′端帽子结构。帽子结构通常有三种类型:三类帽子都是转录后加上去的,它对mRNA免受外切核酸酶的降解(因为是焦磷酸键)和mRNA与核糖体的结合包括翻译的起始区的辨认都是重要的。许多高等植物病毒也有类似的帽子结构,有的病毒RNA还具有特殊的帽子结构。原核生物mRNA无5′端帽子结构。


3′端聚腺苷酸 真核mRNA一般都有3′端聚腺苷酸,它是转录后早期由腺苷酸聚合酶催化加上的。其长度一般为20~200个核苷酸。原核mRNA 一般无此结构或仅有很短核苷酸(少于10个)。有的病毒RNA也有聚腺苷酸。一般认为聚腺苷酸对于mRNA的翻译功能并非必需。聚腺苷酸的存在与mRNA的抗降解、顺利通过核膜进入细胞质以及与病毒的侵染性等有关。
编码区 编码区是所有mRNA分子的主要结构部分,该区域可编码出特定蛋白质分子的氨基酸排列顺序。大量材料已证明除某些线粒体外,三联体密码子在所有生物中是通用的。对于某种mRNA来说,密码的使用是有选择性的,如鼠胰岛素mRNA中,酪氨酸密码子UAC用了六次而UAU一次也没有出现。
非编码区 mRNA的5′端和3′端有二个非编码区。在原核mRNA 中常常在二个顺反子之间还有一些间隔区,这些间隔区也是非编码区。不同来源的真核mRNA3′端不翻译区有AAUAAA序列,它是后加工时添加聚腺苷酸的信号。在某些mRNA的不翻译区常有m6A和m5C等修饰核苷酸,其功能不清楚。
真核生物mRNA前体中往往有不止一个内含子存在,编码区被内含子分隔成几段。在加工过程中由U1RNA(一种SnRNA)协助切除内含子,并把编码区被隔开的各段连接起来,形成成熟的mRNA分子。原核生物mRNA前体中没有内含子。
☚ 核糖体核糖核酸的结构   病毒核糖核酸 ☛
00006739
随便看

 

离鸟网收录3541549条中英文词条,其功能与新华字典、现代汉语词典、牛津高阶英汉词典等各类中英文词典类似,基本涵盖了全部常用中英文字词句的读音、释义及用法,是语言学习和写作的有利工具。

 

Copyright © 2004-2024 vtrois.com All Rights Reserved
更新时间:2026/4/21 9:27:04