网站首页  词典首页


请输入您要查询的字词:

 

字词 偏端霉素a
类别 中英文字词句释义及详细解析
释义
偏端霉素A

偏端霉素A


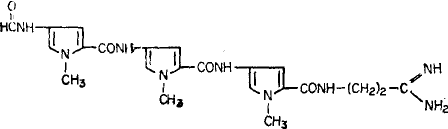
偏端霉素A(distamycin A)是偏端放线菌(Strept.di-stallicus所产生,是第一个在临床应用的抗病毒抗生素。
偏端霉素A是碱性寡肽类抗生素为黄色结晶,熔点184~187℃,微溶于水,溶于乙醇和甲醇。已全合成。
有抗病毒和抗肿瘤作用。在组织培养内抑制痘病毒、单纯疱疹Ⅰ型病毒、E-B病毒和腺病毒。家兔皮肤痘病毒感染后用偏端霉素油膏涂擦有效。
偏端霉素A的作用机理,主要是与DNA结合,形成模板毒,阻断DNA的模板作用。抑制DNA酶,抑制依赖于DNA的DNA和RNA多聚酶,以及逆转录酶。偏端霉素A不是选择性的抗病毒药物,能抑制病毒,对细胞也有毒性。毒性大,不能注射或口服。临床用1%霜剂或油膏外敷,治疗痘苗病毒皮肤感染、唇疱疹、口腔粘膜疱疹和水痘带状疱疹有效。
偏端霉素半合成衍生物的研究证明: 必须有两个以上的吡咯环才有生物活性,甲酰氨基是抗病毒的主要部分。未见报道优于偏端霉素的化合物。
纺锤霉素(netropsin):与偏端霉素结构类似,是放线菌纺锤霉菌Str. netropsis所产生,也有抗痘病毒、鼠白血病、抗肿瘤和抗细菌作用。其作用机制与偏端霉素相似,与DNA结合形成模板毒,未用于临床。
☚ 抗病毒抗生素   抗病毒药 ☛
00005663
随便看

 

离鸟网收录3541549条中英文词条,其功能与新华字典、现代汉语词典、牛津高阶英汉词典等各类中英文词典类似,基本涵盖了全部常用中英文字词句的读音、释义及用法,是语言学习和写作的有利工具。

 

Copyright © 2004-2024 vtrois.com All Rights Reserved
更新时间:2026/4/20 15:45:30