网站首页  词典首页


请输入您要查询的字词:

 

字词 丙环唑
类别 中英文字词句释义及详细解析
释义

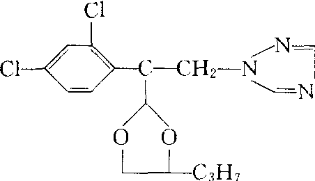
丙环唑propiconuzole

又称环氧三唑。杂环类杀菌剂。化学名称:1-〔2-(2,4-二氯苯基)-4-丙基-1,3-二氧戊环-2甲基〕-1-氢-1,2,4-三唑。化学结构式如下。原药为黄色稠液体,在13.33 Pa下沸点为180℃,20℃时 水 中 溶 解 度110 ml/L,易溶于大多数有机溶剂,贮存稳定性3年。广谱性内吸杀菌剂,对担子菌、子囊菌、半知菌中许多真菌引起的病害都有良好的防治效果,如小麦白粉病、根腐病、条锈病、颖枯病、大麦叶锈病、网斑病、水稻恶苗病、葡萄炭疽病、白粉病、花生叶斑病及香蕉的多种叶斑病。由于具有良好的内吸性能,使用时可喷洒或浸种,具保护和治疗作用。残效期1个月左右,对人畜低毒,大鼠急性口服LD501 517 mg/kg,急性经皮LD50>4 000 mg/kg。对眼、皮肤有轻微刺激。

随便看

 

离鸟网收录3541549条中英文词条,其功能与新华字典、现代汉语词典、牛津高阶英汉词典等各类中英文词典类似,基本涵盖了全部常用中英文字词句的读音、释义及用法,是语言学习和写作的有利工具。

 

Copyright © 2004-2024 vtrois.com All Rights Reserved
更新时间:2026/4/18 10:56:19