网站首页  词典首页


请输入您要查询的字词:

 

字词 确定卷烟工艺流程的依据与原则
类别 中英文字词句释义及详细解析
释义

确定卷烟工艺流程的依据与原则


(一)确定卷烟工艺流程的依据

1.产品方案

确定的卷烟工艺流程应能满足产品方案中不同类型、不同档次和质量风格产品的加工要求。

2.生产规模

一般情况下,卷烟生产规模越大,卷烟工艺流程越完善;生产规模较小时,某些工序可精简或者不同的在制品归并到同一工序加工。

3.烟叶原料的初加工程度

以片烟和烟梗为原料可使烟草加工工艺进一步合理化。这不仅仅是卷烟工艺流程中减少了烟叶去梗工序,还能减少在制品的造碎,降低能耗,提高劳动生产率。

4.原料种类

使用的原料种类越多,则流程中增设的加工、计量、掺配和比例控制工序及设备越多。

5.技术水平与技术进步要求

新工艺、新技术、新材料及新设备的出现与应用,可促进卷烟工艺流程进一步发展与完善,确保卷烟产品质量提高和稳定,单箱消耗原材料下降,劳动生产率与效益增长。而技术法规,推动了工艺流程的合理与规范。

(二)确定卷烟工艺流程的原则

(1)卷烟工艺流程应以“先进、合理、经济、适用”为原则。

(2)卷烟工艺流程应以“优质、低耗、安全、高效”为目标。

(3)卷烟工艺流程应符合《中华人民共和国国家标准》GB5606、GB5607、GB5608、GB5609、GB5610的要求,与《卷烟工艺规范》相适应。

(三)工艺制造能力的核定

卷烟工艺制造能力分段核定。核定办法分两种情况:新设置工艺流程时,采用从后面的工序逐步向前推算的办法,依此配置设备;对已有的工艺流程进行核定时,则逐道工序计算,列表比较,以最小的工序能力作为全流程的制造能力。

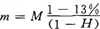
计算制丝过程每道工序的在制品加工量,应根据所计算的这道工序加工在制品的实际含水率,折算成13%含水率的在制品量。

式中 m——某工序在制品加工量,kg/h;

M——含水率为13%的在制品加工量,kg/h;

H——某工序加工的在制品实际的含水率,%。

随便看

 

离鸟网收录3541549条中英文词条,其功能与新华字典、现代汉语词典、牛津高阶英汉词典等各类中英文词典类似,基本涵盖了全部常用中英文字词句的读音、释义及用法,是语言学习和写作的有利工具。

 

Copyright © 2004-2024 vtrois.com All Rights Reserved
更新时间:2026/4/18 16:39:04