网站首页  词典首页


请输入您要查询的字词:

 

字词 单摆周期公式的理解
类别 中英文字词句释义及详细解析
释义 单摆周期公式的理解

1.等效摆长l:摆长l是指摆动圆弧的圆心到摆球重心的距离,而不一定为摆线的长.

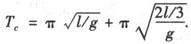
例 图中各摆球可视为质点,各段绳长均为l,图(a)、(b)中摆球做垂直纸面的小角度摆动,(c)图中摆球在纸面内做小角度摆动,O′为垂直纸面的钉,而且OO′=l/3,求各摆的周期.

(a)

(b)

(c)

(1)(a)图中等效摆长l=l·sinα,

(2)(b)图中等效摆长L=l·sinα+l

(3)(c)图中,摆线摆到竖直位置时,摆球做圆周运动的圆心就由O变为O′,摆球振动时,半个周期摆长为l,另半个周期摆长为(ll,则摆球c的周期为

2.等效重力加速度:g不一定等于9.8m/s2

(1)周期公式中g由单摆所在空间位置决定,由知,g随地球表面不同位置、不同高度而变化,而且纬度越低,摆球离地面高度越大,g值越小,另外在不同星球上g也不同.

(2)g还由单摆系统的运动状态决定.如单摆处在向上加速的升降机中,设加速度为a,则摆球处于超重状态,沿圆弧的切向分力变大,则重力加速度的等效值g′=(g+a),若升降机加速下降,则g′=(g—a).单摆若在轨道上运行的卫星内,摆球完全失重,回复力为零,等效值g′=0,摆球不摆动了,周期为无穷大.一般来说,g′值等于摆球相对于加速系统静止在平衡位置时,摆球所受的张力与摆球质量的比值.

随便看

 

离鸟网收录3541549条中英文词条,其功能与新华字典、现代汉语词典、牛津高阶英汉词典等各类中英文词典类似,基本涵盖了全部常用中英文字词句的读音、释义及用法,是语言学习和写作的有利工具。

 

Copyright © 2004-2024 vtrois.com All Rights Reserved
更新时间:2026/4/18 11:28:37