网站首页  词典首页


请输入您要查询的字词:

 

字词 电动机启动控制线路计算
类别 中英文字词句释义及详细解析
释义

电动机启动控制线路计算


1.三相异步电动机直接启动条件计算

式中 Ist——电动机全电压启动电流(A);

IN——电动机额定电流(A)。

上式是经验公式,满足上式情况,可以直接启动。

[例5-1] 某厂变电所的变压器容量为1200kW,问新装一台40kW的三相笼式电动机投入运行时,是否可以直接启动?

[解] 根据式(5-1)得

由电动机产品样本查得这台电动机的

故这台电动机可以直接启动。

2.三相异步电动机电阻降压启动控制线路计算

(1)启动电流

I′st=kIst (5-2)

式中 Ist——全电压时启动电流,Ist=(4~7)IN,某些电动机可达Ist=(8~12)IN

k——小于1的系数。

(2)启动转矩 (5-3)

式中 Tst——电动机额定电压时的启动转矩(N·m)。

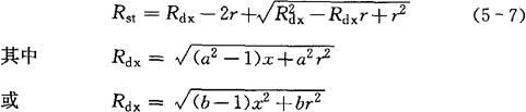
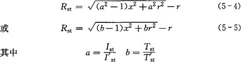
(3)定子对称串接的启动电阻Rst计算

a、b值由生产机械的要求决定,必须保证降压启动时,T,T是负载转矩,一般取a=2,

r=(0.25~0.4)|Z|

定子绕组星形接法:

定子绕组三角形接法:

也可用下面近似公式计算:

(4)定子不对称串接的启动电阻Rst计算

也可近似计算,即

Rst(不对称)=1.5Rst(对称) (5-8)

(5)启动电阻的功率计算 (5-9)

一般选用启动电阻的功率为计算值的

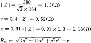
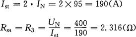
[例5-2] 有一台三相笼型异步电动机的功率17kW,额定电流为30.9A,额定电压为380V,星形联接,采用定子串对称电阻减压启动,求启动电阻Rst

[解] 由电动机产品样本查得Ist=164A,取a=2,

电阻功率:

取二分之一,则电阻功率为0.84kW,取1kW。

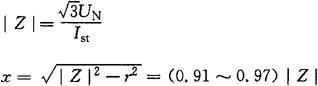
3.三相异步电动机自耦变压器减压启动控制线路计算

(1)自耦变压器的一次侧电压U1和二次侧电压U2的关系

式中 N1、N2——变压器的原绕组及副线组匝数(N2是抽头部分的匝数);

KA——小于1的数,有0.85、0.65供选择使用。

(2)启动电流

I′st=KAIst (5-11)

式中 Ist——全电压启动时的启动电流(A);——电动机减压启动电流,即变压器二次电流(A)。

自耦变压器一次电流I,就是减压启动时从电网索取的电流。 (5-12)

(3)启动转矩 (5-13)

式中 Tst——全电压启动转矩(N·m)。

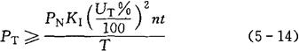
(4)自耦变压器的容量PT计算

式中 PN——电动机额定容量(kW);

KI——直接启动时的启动电流Ist与额定电流IN的比值,即

UT%——自耦变压器的抽头电压,以额定电压的百分数表示,如65%、85%等,在计算时用65、85整数代入。

n——启动次数;

t——启动一次的时间(min);

T——最大启动时间(min)。

自耦变压器的启动功率PTst

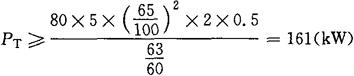
[例5-3] 有一台电动机额定功率为80kW,KI为5,按生产机械的要求,电动机启动时容许最低电压为额定电压的60%,设启动器启动次数n=2,每次启动的时间t=0.5min,选择最大启动时间T=63s的类型。试计算并选择自耦变压器。

[解] 由式(5-14)得

选择QJ3-125自耦变压,其容量为164.5kW。

4.三相异步电动机星形-三角形减压启动控制线路计算

(1)启动电压

式中 Ust丫——定子绕组星形连接时启动电压(V);

Ust△——定子绕组采用三角形连接直接启动电压(V)。

(2)启动电流

式中 Ist丫p——定子绕组星形连接时每相定子绕组的启动电流(A);

Ist△p——定子绕组三角形连接直接启动时每相定子绕组启动电流(A)。

式中 Ist丫1——星形连接启动时的线电流(A);

Ist△1——三角形连接启动时的线电流(A)。

(3)启动转矩

式中 Tst丫——星形连接时启动转矩(N·m);

Tst△——三角形连接时启动转矩(N·m)。

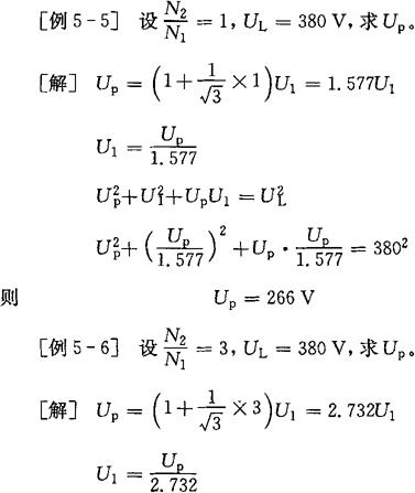
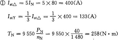
[例5-4] 有一台Y225M-4型三相异步电动机,其额定功率为40kW,额定转速为1480r/mm,额定电压380V,额定电流80A,用三角形连接,。求:①采用丫-△降压启动方法,启动电流和启动转矩为多少?②当负载转矩为额定转矩的80%和50%两种情况时,电动机能否启动?

[解]

Tst△=2TN=2×258=516(N·m)

②负载转矩=80%TN=206N·m>Tst丫=172N·m,所以不能启动。

负载转矩=50%TN=129N·m<Tst丫=172N·m,所以能启动。

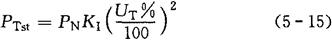
5.三相异步电动机延边三角形减压启动控制线路计算

图5-1是电动机定子绕组延边三角形减压启动控制线路原理图。

图5-1

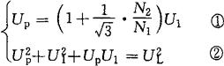
(1)延边(△)接法时,相电压Up的计算

式中 U1——线电压(V);

N1——定子绕组丫部分匝数;

N2——定子绕组△部分匝数。

UL、N1、N2均已知,解方程①、②可求得Up

则 Up=310V

(2)启动电流的计算

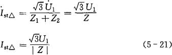
式中 Ist△——△接法时的启动电流(A);

U1——电源线电压(V);

Z1——△接法时,丫部分每相复数阻抗(Ω);

Z2——△接法时,△部分每相复数阻抗(Ω)。

定子绕组接成△时启动电流

式中 Z=Z1+Z2——电动机定子绕组每相复数阻抗(Ω)。

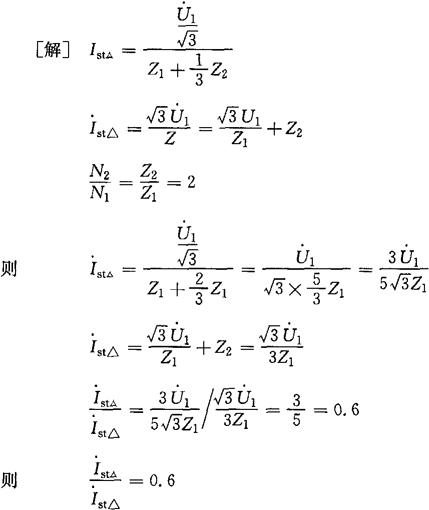
[例5-7] 某台电动机采用△-△降压启动,定子绕组抽头之比为,求降压启动电流和全电压启动电流之比。

(3)启动转矩计算

式中 Tst△——△接法全电压启动的启动转矩(N·m);

Tst△——△接法启动的启动转矩(N·m)。

6.三相绕线式异步电动机启动控制线路计算

(1)转子绕组外接启动电阻计算

在计算启动电阻的阻值前,首先确定启动电阻的级数,启动电阻级数由表5-1来选择。

表5-1 启动电阻级数

转子绕组中每相串接的各级电阻值可用下式计算:

式中 K——常数;

s——电动机额定转差率;

m——启动电阻的级数;

n——各级电阻的序号,如m=4,序号为1,2,3,4,最后一级启动电阻的序号n在数值上与m相等;

r——m级启动电阻中,序号为最后一级的电阻值,即平衡短接法中最后被短接的那一级电阻(Ω)。

式中 U2——电动机转子电压(V);

I2——电动机转子电流(A)。

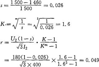
[例5-8] 一台三相绕线型异步电动机容量为150kW,定子额定电压380V,额定转速为1460r/min,转子电压为180V,转子电流为400A,问这台电动机在半负荷启动时,采用平衡短接法,求启动电阻Rst

[解] 查表5-1,确定启动电阻的级数m为3。

第一级启动电阻:

Rst1=Km-nr=1.63-1×0.049=0.125(Ω)

第二级启动电阻:

Rst2=1.63-2×0.049=0.078(Ω)

第三级启动电阻:

Rst3=1.63-3×0.049=0.049(Ω)

每相启动电阻的功率: (5-27)

式中 I2——转子电流(A);

Rstp——每相总的启动电阻,即为每相各级电阻的和。

Rstp=Rst1+Rst2+Rst3+…+Rstn (5-28)

实际选用的功率,对频繁启动的场合,一般选用计算值的二分之一,对不频繁启动,可选计算值的三分之一。

[例5-9] 某生产机械用三相绕线型异步电动机拖动,其电动机的PN=28kW,UN=380V,I2N=70A,E2=220V,nN=1420r/min,生产机械要求全负荷启动,采用不平衡短接法,求启动电阻Rst和每相启动电阻的功率P。

[解] 查表5-1,取启动电阻级数m=4。

第一级启动电阻:

Rst1=Km-n·r=2.084-1×0.10=0.9(Ω)

第二级启动电阻:

Rst2=2.084-2×0.10=0.43(Ω)

第三级启动电阻:

Rst3=2.084-3×0.10=0.21(Ω)

第四级启动电阻:

Rst4=r=0.10(Ω)

每相启动电阻的功率

Rst=Rst1+Rst2+Rst3+Rst4

=0.9+0.43+0.21+0.1=1.64(Ω)

P=702×1.64=8.036(kW)

如果不频繁启动,则可取计算值的二分之一,即取启动电阻的功率为5kW。

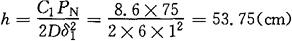
(2)转子绕组外串接频敏变阻器启动的控制线路中频敏变阻器计算

图5-2是自己制作的管式频敏变阻器的结构简图。其各项参数的计算如下:

图5-2 管式频敏变阻器结构简图

①钢管的选择。钢管外径D及管壁的厚度δ1选择,是由电动机容量及生产现场条件决定的,电动机容量愈大,所需钢管外径也就愈粗。管壁厚度δ1由市场产品而定。

②钢管高度h计算

式中 C1——常数,查表5-2确定;

表5-2 常数C选择

PN——电动机额定功率(kW);

D——钢管的外径(cm);

δ1——钢管的壁厚(cm)。

③线圈匝数N及导线截面S计算

式中 C2——常数,查表5-2确定;

I2N——电动机转子绕组额定电流(A)。

S=C3I2N (5-31)

式中 C3——常数,查表5-2确定。

④窗口宽度L1计算

式中,S单位取mm2,h单位取mm。

⑤铁轭厚度δ2和宽度b及长度L2计算

[例5-10] 一台YR-280M-4全封闭式绕线式转子三相异步电动机,PN=75kW,I2N=128.5A,在重轻载下启动,自制管式频敏变阻器作启动设备,试计算频敏变阻器各参数。

[解] 查5-2,C1=8.6,C2=390,C3=0.08。由现场条件,选择无缝钢管的外径D=60mm,管壁厚度δ1=10mm。

钢管高度:

取54cm。

线圈匝数:

取164匝。

导线截面积:

S=C3I2N=0.08×128.5=10.3(mm2)

取11mm2

窗口宽度:

取21mm。

铁轭厚度:

铁轭宽度:

b≥D=60mm。

铁轭长度:

L2≥3D+2L1=3×6+2×2.1=20.2(cm)。

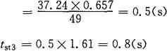
7.直流电动机启动控制线路计算

直接启动电流:

式中 Iast——启动时电枢电流(A);

U——电源电压;

Ra——电枢电阻(Ω)。

Iast=(10~20)IaN(额定电流)

一般规定:

Iast≤(1.5~2.5)IaN

以他励(或并励)直流电动机、恒转矩负载、各级启动电阻切换时电枢电流恒定及电枢绕组电感不考虑等情况,对控制线路进行计算(见图5-3所示)。

图5-3

(1)启动电流Iast

Iast=(1.5~2.5)IaN (5-35)

式中 IaN——电枢额定电流,即电动机铭牌上的电流(A)。

(2)启动转矩Tst

Tst=(1.5~2.5)TN (5-36)

式中 TN——电动机额定转矩(N·m)。

(3)启动电阻Rst

启动电阻的计算,主要计算启动电阻的级数m和每级的分段电阻值。

①启动电阻级数m选择。级数m由表5-3确定。

表5-3 启动电阻级数m的选择

②各级启动电阻计算

式中 Rm——电枢电路总电阻(Ω);

∑Rst——总的启动电阻(Ω);

Ra——电枢绕组的电阻(Ω);

U——电源电压;

Ist——启动电流,取Ist=(1.5~2.5)IN(A)。

式中 m——启动电阻级数;

β——电流比例系数。

第一级启动电阻:

Rst1=R1-Ra

式中,R1=βRa,是用一级启动电阻Rst1时,电枢电路总电阻。第二级启动电阻:

Rst2=R2-R1

式中,R2=βR1,是用二级启动电阻时,电枢电路总电阻。第三级启动电阻:

Rst3=R3-R2

式中,R3=βR2,是用三级启动电阻时,电枢电路总电阻。

第m级启动电阻:

Rstm=Rm-Rm-1

式中,Rm=βRm-1,是用m级启动电阻时,电枢电路总电阻。

Rm-1是用m-1级启动电阻时,电枢电路总电阻。

[例5-11] 有一台他励直流电动机,PN=37kW,UN=440V,IN=95A,电枢绕组电阻Ra=0.35Ω,nN=1000r/min,采用继电-接触器控制启动电阻切换,二分之一负荷启动,试计算启动电阻。

[解] 由表5-3查得m=3,

(4)启动时间

①各级启动时间

式中 tstn——各级启动时间(s);

Ist——启动过程中的最大电流,取Ist=1.5~2.5IN(A);

I(∞)——稳定电流,即启动结束正常运行后的电流,一般取I(∞)=IN(A);

Im——启动电阻切换时的电流,各级电阻切换时的电流都取相同值,取Im=(1.1~1.2)IN(A);

τm——电力拖动系统的机电时间常数。

式中 GD2——机械惯性矩(N·m2);

R——各级启动时电枢电路总电阻,即:

Ra——电枢绕组电阻(Ω);

∑Rst——各级启动时电枢电路启动电阻之和(Ω);

Ke、KT——电机结构常数,取Ke=1.03KT或KeΦ=1.03KTΦ;

Φ——磁场的磁通(Wb)。

②总的启动时间

式中 m——启动电阻级数;

τm——当R=Ra时,算出的时间常数(s)。

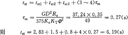
一般认为启动电阻切换到末级,由末级到达稳定转速nN的时间t=(3~4)τm

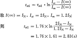
[例5-12] 求例5-11中各级启动时间和总的启动时间tst

第一级启动时间常数:

第一级启动时间:

第二级启动时间:

第三级启动时间:

总的启动时间:

随便看

 

离鸟网收录3541549条中英文词条,其功能与新华字典、现代汉语词典、牛津高阶英汉词典等各类中英文词典类似,基本涵盖了全部常用中英文字词句的读音、释义及用法,是语言学习和写作的有利工具。

 

Copyright © 2004-2024 vtrois.com All Rights Reserved
更新时间:2026/4/19 21:21:33