网站首页  词典首页


请输入您要查询的字词:

 

字词 pdpc法
类别 中英文字词句释义及详细解析
释义
PDPC法

PDPC法

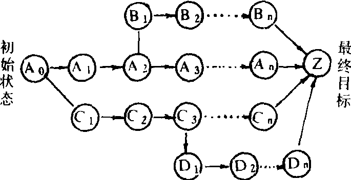
亦称“过程决策程序图法”。质量管理的“新七种工具”之一。用来分析某项工程随着事态发展可能出现的各种问题,并寻找达到最佳结果的有效途径的方法。主要用于: 制定目标管理、科研项目的实施计划; 制定预防产品制造过程中出现不合格品的措施; 预测系统运行过程中可能发生的重大事故,并制定相应对策; 制定和选择谈判过程中的对策等。应用PDPC法的一般步骤是: (1) 确定研究对象和欲达目标; (2) 组织有关人员分析预测对象发展过程中可能出现的各种情况,分别制定达到预期目标的相应对策和实施步骤,并用图形表示出来 (见下图); (3) 确定各方案的具体负责者。运用PDPC法来分析研究系统发展过程并制定相应对策,可以提高计划的预见性和对环境条件变化的适应性,从而保证预期目标的实现。

☚ 矩阵数据分析法   矢线图法 ☛
00005853
随便看

 

离鸟网收录3541549条中英文词条,其功能与新华字典、现代汉语词典、牛津高阶英汉词典等各类中英文词典类似,基本涵盖了全部常用中英文字词句的读音、释义及用法,是语言学习和写作的有利工具。

 

Copyright © 2004-2024 vtrois.com All Rights Reserved
更新时间:2026/4/20 13:02:26