网站首页  词典首页


请输入您要查询的字词:

 

字词 密蒙黄
类别 中英文字词句释义及详细解析
释义

密蒙黄


编码 GB 08.139

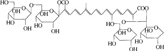
化学结构 主要成分为:

(Ⅰ)藏红花苷(Crocin)

C44H64O24 相对分子质量 977.41

(Ⅱ)密蒙花苷——刺槐素

C20H32O14 相对分子质量 592

性状 黄棕色粉末或膏状,具有芳香气味,溶于水,稀醇或稀碱溶液,不溶于苯和乙醚等有机溶剂,耐热、耐光、耐糖、耐盐、耐金属。pH小于3时呈淡黄色,pH大于3时呈橙黄色。

制法 密蒙花经醇水抽提、过滤,浓缩、干燥而成。

质量标准

鉴别方法

(1)本品水溶液在pH小于3时为淡黄色,大于3时转为黄色,pH6~7时呈现稳定的橙黄色。

(2)取本品0.1g,加1.5mL甲醇溶解,取溶液滴于滤纸上,喷1%三氯化铝乙醇溶液,在紫外光下观察呈现黄绿色荧光,氨薰后荧光增强。

(3)取本品少许,滴入浓硫酸2滴,呈紫红色反应。

(4)取本品少许,滴入几滴10%三氯化铁,溶液呈绿色。

(5)0.1%本品水溶液最大吸收峰为435±5nm。

毒理学依据

1.LD50 小鼠口服大于10.0g/kg(bw)。

2.致突变试验 Ames试验、骨髓微核试验、小鼠精子畸变试验、均未发现致突变作用。

3.亚慢性试验 密蒙黄以1.5%高剂量加入饲料喂饲大鼠3个月,未发现对其生长发育,生理生化、组织形态结构和生殖功能等方面有不良影响。

使用 着色剂。

1.使用注意事项 本品在酸性、中性条件下为黄色至橙黄色,着色力强,染色效果好,色泽稳定,耐光,耐热,耐金属,使用方便。

2.使用范围及使用量 我国《食品添加剂使用卫生标准》(GB 2760-1996)规定:按生产需要适量使用于配制酒、糕点、面包、糖果、果汁(味)饮料。

随便看

 

离鸟网收录3541549条中英文词条,其功能与新华字典、现代汉语词典、牛津高阶英汉词典等各类中英文词典类似,基本涵盖了全部常用中英文字词句的读音、释义及用法,是语言学习和写作的有利工具。

 

Copyright © 2004-2024 vtrois.com All Rights Reserved
更新时间:2026/4/19 8:47:15