网站首页  词典首页


请输入您要查询的字词:

 

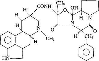
字词 双氢麦角碱
类别 中英文字词句释义及详细解析
释义 双氢麦角碱

C33H37N5O5=583.67

CAS-511-12-6

9,10-二氢-12′-羟-2′-甲基-5′-(苯基甲基)麦角曼-3′,6′,18-三酮。

9,10-Dihydro-12′-hydroxy-2′-methyl-5′-(phenylmethyl)ergotoman-3′,6′,18-trione.

α-型抗肾上腺药。抑制血管运动中枢,降低血管运动紧张度缓解脑血管痉挛,并使血压下降。用于治疗偏头痛、急性发作、血管性头痛、肢端动脉痉挛、冠脉痉挛等。

Dihydroergotamine,Dihydergoy,Dirgotarl,Ergotex.

氢化麦角胺,氢麦角胺。

INN,BAN,BP,DCF,DCIT,GDP,USAN,USP.

随便看

 

离鸟网收录3541549条中英文词条,其功能与新华字典、现代汉语词典、牛津高阶英汉词典等各类中英文词典类似,基本涵盖了全部常用中英文字词句的读音、释义及用法,是语言学习和写作的有利工具。

 

Copyright © 2004-2024 vtrois.com All Rights Reserved
更新时间:2026/4/20 11:22:52