网站首页  词典首页


请输入您要查询的字词:

 

字词 声波在管导中的反射
类别 中英文字词句释义及详细解析
释义

声波在管导中的反射


设在管导内沿管长x处声阻抗特性由ρC/S变化ZAx,ZAx可以为实数或虚数,由管导变化的具体情况决定,若沿正x方向的初始波

Pi=Piej(ωt-kx) (11.3-26)

入射在某一点时引起的反射为:

Pr=Prej(ωt+kx) (11.3-27)

它沿x负方向。

对应于体积位移区的流体体积速度分别为

当两种波同时存在时,它们之间不同的位相使得声阻抗沿管长各点有不同数值。即不再像只有入射波存在时那样各点保持相同的值。有反射波时,声阻抗的表达式为:

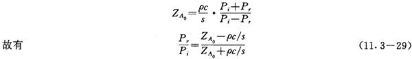
在管导中遇有阻抗改变的横截面处,声压与体积速度的连续条件,将以它们的比值连续或声阻抗连续的条件来代替,因此入射波与反射波的位相和振幅都与(11.3-28a)式有关,并表为对应的ZAx

把坐标原点放在阻抗改变的位置,即x=0时,(11.3-28a)式等于ZA0

在声阻抗变化处,功率反射比Wr为:

式中ZA0已用RA0+jXA0代替。功率透射比Wt为1-Wr,即

当在管导中的平面声波由截面S1传播到S2时,应用以上各式用ZA0=ρc/s2导出功率透射比,也与其它方法的结果一致。若管导x=0处以刚性帽为终端,则ZA0→∞故Pr/Pi=1。即反射波的声压振幅等于入射波的声压振幅,且在x=0处反射波与入射波同相位。另一方面在这位置的体积速度都有180°的位相差,故帽的位置对应于体积速度为波节。

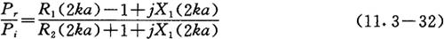
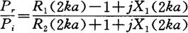
若管端开口,并有无限大的凸缘,则末端的阻抗与作用在无限障板活塞上的阻抗相同,即:

因此:

对于的高频,活塞的阻函数R1(2ka)≈1,抗函数X1(2ka)≈0,故Pr/Pi≈0。即反射的功率很少,大部分的入射声功率都在管导末端辐射出去,对于2ka<0.5的低频,R1(2ka)≈k2a2/2,X1(2ka)≈8ka/3π,因此:

对于的高频,活塞的阻函数R1(2ka)≈1,抗函数X1(2ka)≈0,故Pr/Pi≈0。即反射的功率很少,大部分的入射声功率都在管导末端辐射出去,对于2ka<0.5的低频,R1(2ka)≈k2a2/2,X1(2ka)≈8ka/3π,因此:

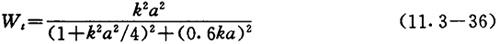
当2ka《1时,Pr/Pi≈-1,表示反射波的声压振幅只是略小于入射波的振幅。在x=0处,声压位相约改变180°因此稠密的反射是稀疏,在管开口处入射与反射的体积速度是同相位的。故这一位置基本上是体积速度波腹。根据这一事实,在开口处的体积速度的振幅约为入射波的振幅的两倍,由于声阻很小,故功率透射比:

也是很小的。若k2a2《1,则这表达式可进一步筒化为:

Wt≈2k2a2=8π2a2/λ2 (11.3-34a)

当辐射声的波长λ大到可与管导半径a相比时,就只有很小部分声功率传出有凸缘的管导。这表示,当声源的尺寸小于声波波长时,声能辐射的效率很差。

对于的低频,实验和理论都表明,非凸缘管导的声阻抗约为:

可以证明,这管导末端的功率透射比为

故管导末端的宽凸缘,媒质低频辐射提高一倍。以下将要指出,当管导接在适当形状的喇叭形号筒上,低频的功率透射还会增加。

【参考文献】:

[1]IEC—327,Precision method for pressure calibration or one—inch standard condenser microphones by the reciprocity technique. 1971.

[2]1EC—486,Precision method for free—field calibration of one inch standard condenser microphones by reciprocity technique, 1974.

[3]IEC—150.Testing and calibration of ultrasonic therapeutic equipment, 1963.

[4]GB 3223-82,水声换能器的自由场互易校准

[5]GB 3785-83,声级计的电,声性能及测量方法

[6]GB 7341-87,听力计

[7]GB 7614-87,校准测听耳机用宽频带型仿真耳

[8]GB 7342-87,测听耳机校准用IEC临时参考耦合腔

[9]OIML R102,声校准器

[10]JJG 188-90,声级计

[11]JJG 698-90,积分声级计

[12]标准电容传声器有关国家标准及检定规程

[13]JJG 388-85,听力计

随便看

 

离鸟网收录3541549条中英文词条,其功能与新华字典、现代汉语词典、牛津高阶英汉词典等各类中英文词典类似,基本涵盖了全部常用中英文字词句的读音、释义及用法,是语言学习和写作的有利工具。

 

Copyright © 2004-2024 vtrois.com All Rights Reserved
更新时间:2026/4/19 3:28:33