网站首页  词典首页


请输入您要查询的字词:

 

字词 书写热化学方程式应注意的问题
类别 中英文字词句释义及详细解析
释义 书写热化学方程式应注意的问题

1.反应放出或吸收的热量的多少与外界的温度和压强有关,需要注明,不注明的指101kPa和25℃时的数据.

2.物质的聚集状态不同,反应吸收和放出的热量不同,因此要注明反应物和生成物的聚集状态.

3.热化学方程式中的热量数据,是与各化学计量数为物质的量时相对应的,不是几个分子反应的热效应.因此式中化学计量数可以是整数,也可以是分数.一般出现分数时是以某一反应物或生成物为1时其他物质才出现的.

4.无论热化学方程式中化学计量数为多少,△H的单位总是kJ/mol,△H只写在标有反应物和生成物状态的化学方程式的右边,并用“;”隔开.若为放热反应,△H为“—”;若为吸热反应,△H为“+”.

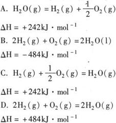
例1 已知在1×103Pa,298K条件下,2mol氢气燃烧生成水蒸气放出484KJ热量,下列热化学方程式正确的是( ).

解析 ❶ 根据热化学方程式书写中反应热表示方法的规定即△H为“—”表示放热,△H为“+”表示吸热,可判断H2燃烧放出的热量应用负值表示,而且燃烧反应为放热反应,故C、D不正确;
❷ 根据相同物质的反应,聚集状态不同,反应热不同,故B错;
❸ 根据相同反应,反应热与可燃物的物质的量成正比可判断A正确.

答 A

例2 已知25°C、101kPa下,石墨、金刚石燃烧的热化学方程式分别为C(石墨)+O2(g)=CO2(g);△H=—393.51kJ·mol—1,C(金刚石)+O2(g)=CO2(g);△H=—395.41kJ·mol—1据此判断,下列说法正确的是( ).

A.由石墨制备金刚石是吸热反应,等质量时,石墨的能量比金刚石的低

B.由石墨制备金刚石是吸热反应,等质量时,石墨的能量比金刚石的高

C.由石墨制备金刚石是放热反应,等质量时,石墨的能量比金刚石的低

D.由石墨制备金刚石是放热反应,等质量时,石墨的能量比金刚石的高

解析 将C(石墨)+O2(g)=CO2(g);△H=—393.51kJ·mol—1和C(金刚石)+O2(g)=CO2(g);△H=—395.41 kJ·mol—1两式相减,得C(石墨)=C(金刚石);△H=1.9kJ·mol—1,可见由石墨制备金刚石是吸热反应,也说明等量石墨所具有的能量比金刚石低

答 A

随便看

 

离鸟网收录3541549条中英文词条,其功能与新华字典、现代汉语词典、牛津高阶英汉词典等各类中英文词典类似,基本涵盖了全部常用中英文字词句的读音、释义及用法,是语言学习和写作的有利工具。

 

Copyright © 2004-2024 vtrois.com All Rights Reserved
更新时间:2026/4/20 3:57:14