网站首页  词典首页


请输入您要查询的字词:

 

字词 力学性质
类别 中英文字词句释义及详细解析
释义

力学性质


(一)土中应力的分布及计算

1.在外力作用下土中应力分布状态 在集中力作用下,土中某一点(M)的应力,与该点到集中力(P)作用点的距离成反比。如图2-2-11所示,在同一深度的水平面(Z值不变)上,r越大(距P力作用点越远),则σz越小;在P力的作用下,Z越大(距P力作用点越远),σz也越小。

图2-2-11 集中力P作用下土中应力σz的分布

2.矩形面积土中应力的计算——角点法 在海盐生产中,运盐车下池收盐时,轮胎有一着地面积,因此按矩形面积(或圆面积)作用着均布垂直荷载P(Pa);为了求出在矩形一角点下M点的σz(其深度为Z),可将矩形面积上的荷载分成无数个集中垂直荷载(P=pdA)(图2-2-12),再利用布逊尼斯克(Bouseinesg)弹性理论公式对整个矩形面积积分求得。

图2-2-12 矩形面积角点下的应力

σz=KcP

(2-2-33)

式中 P——矩形荷载的压强(Pa)

Kc——矩形荷载面积角点下的应力分布系数为的函数(查表2-2-21)

表2-2-21 用角点法计算垂直应力的系数Kc

(L——矩形的长度、b——宽度、Z——深度)

利用角点下应力公式(2-2-33),采用迭加法求出运盐车在池中轮胎着地面积中心点下不同深度的土中垂直应力(图2-2-13)。

图2-2-13 矩形基础面内任一点M下的垂直应力

A-M点位于矩形之内中心点下

B-M点位于短形之内任意一点

σz=(A+A+A+A)P (2-2-34)

式中 A——表示Mhbe矩形面积

A——表示Mecf矩形面积

A——表示Mhag矩形面积

A——表示Mgdf矩形面积

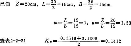
例如:某运盐车轮胎着地面积30×30cm2,平均对地的压强为14.71×104Pa,求轮胎着地面积中心点下20cm深度的土中垂直应力。

∴ σz=0.1412×14.71×104=0.21×105Pa

因轮胎着地面积为矩形中心下一点的垂直应力,故为4个小矩形分别作用的总和,所以σz=0.21×105×4=0.84×105Pa

(二)土的压缩性

土在稳定荷载作用下体积的缩小。

1.压缩定律 土样放入固结仪中,在各级荷重下达到相应稳定时相应的孔隙比(图2-2-14),并绘出压力与孔隙比的关系曲线,即为土的压缩曲线,或称ε-P曲线(图2-2-15)。

图2-2-14 压缩前后土样厚度与孔隙比的变化

图2-2-15 压缩曲线

各级荷重下孔隙比的计算公式:

式中 ε——各级荷重下达到相对稳定时相对应的孔隙比

ε0——试验前土样的孔隙比

h0——试验前土样的高度(mm)

⊿h——某级荷重下土样的变形量(mm)

压缩曲线表示土受压后,在某一压力增量ΔP作用下,土的孔隙比变化值Δε愈大,即表示土的压缩性愈大。在压力变化不大(一般在0.98~2.94×105Pa)时,可用直线M1M2近似地表示该段曲线。

式中 ε1——增压前土样原始孔隙比对应P1

P1——增压前土样所受的压力强度(Pa)

ε2——增压后土样的最终孔隙比对应P2

P2——增压后土样所受的压力强度(Pa)

K——压缩系数即线的斜率(Pa-1)

压缩系数愈大,表示土的压缩性高。盐业生产上采用0.98×105~1.96×105Pa压力变化范围的压缩系(K1-2)大小来判断土的压缩性高低。其标准为:

低压缩性土 K1-2<1.02×10-7Pa-1

中压缩性土 1.02×10-7<K1-2<5.099×10-7Pa-1

高压缩性土 K1-2>5.099×10-7Pa-1

2.卸荷与再压缩曲线 土体加荷到某一定数值P,土样压缩达到稳定,得压缩曲线ab;然后逐渐卸荷,土体相应膨胀,得卸荷曲线bc,bc不是沿ba回升,而是比压缩曲线平缓得多。待土体膨胀完毕,再逐渐加荷,得cd再压缩曲线;再压缩曲线cd又较初压缩曲线平缓得多,而且在同等荷重下再压时的沉陷量较初压时为小(图2-2-16)。

图2-2-16 重复加荷,卸荷的压缩曲线

ab-压缩曲线 cd、ef、gh、ij、kl

再压缩曲线 bc、de、fg、hi、jk、

lm-卸荷曲线

盐田池板要达到应有的密实度,必须经过反复压实才能达到目的。

3.压缩试验 基本原理和计算结果见本书第二篇第二章第三节力学性质(二)。采用杠杆加压法测定,其试验方法是:

(1)用环刀取盐田原状土,削去环刀两端的余土,并取削下的余土测其含水量。

(2)擦净环刀外壁,称环刀加土合重,求其容重及干容重,准确至0.1g。

(3)将护环放在容器底座上,其上顺次放上湿润洁净的透水石和滤纸。将装有土样的环刀,刀口向下放入容器内,再在土样上放湿的滤纸一张(略小于土样)、洁净的透水石一块,最后放上传压板和钢珠(图2-2-17)。

图2-2-17 固结仪容器及装置示意图

A-固结仪装置图 B-固结仪容器图

(4)将固结仪安放在固定的台桌上,放上传压枢,利用平衡锤调整杠杆水泡位于居中时,再将手轮逆时针方向旋转,使升降杆上升至顶点,再顺时针方向旋转3~5转。

(5)将容器对准传压枢,使拉杆下端螺帽调至球压孔隙在5mm左右。

(6)对准加压板的横梁在表夹上装好测微表(调节测微针伸长距离不小于8mm。并检查各部件是否灵活妥贴,然后调整测微表读数为“0”点。

(7)加第一级荷重P=2.45166×104Pa,加荷时砝码应轻轻放上,避免冲击和摇晃。刚施加荷重时,即开动秒表,并随时观察水泡,调节手轮,保持杠杆平衡;调节过程中,严禁逆时针方向转动手轮,以免产生间隙震动土样。

(8)在加压的同时,开动秒表,按下列累计时间测记测微表读数:15″、1′、2′15″、4′、6′15″、9′、12′15″、16′(“,”代表分、“′′”代表秒),直至土样压缩稳定为止。稳定的标准为测微表读数1小时的变化不超过0.005mm。

(9)试验稳定后,立即施加第二级荷重P=49kPa,仍按上述(7)(8)步骤进行测记。

(10)重复上述操作,逐级施加重98kPa、196kPa、294kPa、392kPa。

(11)在最后一级荷重测记完毕后,拆除测微表,卸下砝码及加压设备,取出环刀及土样,用滤纸吸去附在土样表面及环刀外的水分,称环刀和土样重,以求试验后的容重。

(12)将环刀中的土样推出,从内部取土测定试验后的含水量,用以计算压缩后的孔隙比。并绘制孔隙比与压力、压缩系数与压力的关系曲线。

注意事项:

(1)在安装仪器时,必须将手轮逆时针方向旋转,使升降杆上升至顶点,再顺时针方向旋转3~5转,否则在加压过程中无法调节杠杆的平衡。

(2)加压过程中应按本仪器所规定的压力依次加荷,所加砝码数量为累计数。

(3)试验成果的精确度决定于扰动程度(切土样的技术),所以在制备试样时,应十分耐心操作,尽可能地避免破坏原状土的结构。

(4)加砝码时应轻轻放上,尽可能避免冲击和震动,加第一次荷重时,应先使传压板和透水石密接。如更换砝码,应由一人扶住加压杠杆,保持杠杆的原来的位置,使砝码换好后再轻轻松开加压杠杆。

(三)土的抗剪性

1.抗剪强度 土体在外力作用下,开始发生部分之间的滑动,并引起剪切破坏时所具有的抵抗滑动破坏的力学强度,称为抗剪强度。抗剪强度与压应力的关系式为:

对于粘性土 τ=σtgφ+C (2-2-37)

对于砂土 τ=σtgφ (2-2-38)

式中 τ——土的抗剪强度(Pa)

σ——作用于剪切面上的压应力(Pa)

tgφ——土的内摩擦系数(无因次)

φ——土的内摩擦角(度)

C——土的凝聚力(Pa)

2.剪切曲线 土样放入直剪仪内,分别施加不同的压应力σ1、σ2、σ3,得到相应的抗剪强度τ1、τ2、τ3。根据不同的压应力与相应的

抗剪强度的关系,绘制σ-τ剪切曲线(图2-2-18)。

图2-2-18 剪切曲线

土的凝聚力C和内摩擦系数tgφ与土的种类、成分、状态和试验条件有关。在大多数情况下,粘性土的内摩擦角φ为8~26°,凝聚力C为1.96~58.83kPa;砂土的内摩擦角约为30~43°(表2-2-22)。

表2-2-22 轻粘土和轻壤土的抗剪强度(塘沽盐场三分场)

3.抗剪强度试验 土的抗剪强度是海盐工艺设计的一个重要指标。目前主要采用应变控制式直剪仪来测定粘性土和砂性土的抗剪强度,其基本原理见本书第二篇第二章第三节力学性质(三)。试验方法是:

(1)用环刀取盐田原状土,然后用钢丝锯削平两端,测定削下的两端余土的含水量,并称环刀加土合重,求其容重和干容重。

(2)将剪力仪的固定框与滑动框对准,插上螺丝插销。

(3)在滑动框内放透水石一块和湿滤纸一张。

(4)将环刀平口向下,对准剪切盒口,用土样盖将土样推入剪切盒内,再移去环刀。

(5)在土样上放一湿滤纸和透水石,然后再放上土样盖、钢珠及加压框(拉杆),并安装测微表。

(6)将手轮乙顺时针方向旋转升降杆上升至顶点,再逆时针方向旋转3~5转(图2-2-19)。

图2-2-19 杠杆等应变剪切仪示意图

(7)再将拉杆下端的螺帽调节至球压孔隙5mm,并调节平衡锤,使杠杆水泡居于中央。

(8)将测微表读数调至“0”点。

(9)然后按规定逐级加荷,一般取4个试样(但试样被此间容重的差值不宜大于0.03g/cm3,含水量不得大于2%),分别施加98kPa、196kPa、294kPa、392kPa垂直压力,加荷时一次轻轻加上,如土质渲软,为了防止挤出,可分次施加。

(10)在试样上加第一次垂直压力,即开始测记测微表读数及压缩时间。

(11)在施加垂直压力的过程中,应随时观察水泡,调整手轮乙保持杠杆平衡,并在活塞周围敷上湿棉花,以防水分蒸发。稳定的标准为测微表读数每小时的变化不超过0.005mm。

(12)试样压缩稳定后,将垂直测微表取下安上钢环及水平测微表转动手轮甲,使钢环前的钢珠刚与滑动框相接触,调整测微表读数为“0”点。拔去剪切盒螺丝插销,即开动秒表,匀速转动手轮甲,每分钟转4转(15秒一转),每转一转均需测记钢环中的测微表读数,使试样在3~5分钟内剪损。若钢环中测微表指针不再前进时,即认为已开始剪损。

(13)剪损后吸去盒中积水,卸除测微表、荷重、钢珠、土样盖与固定框,立即沿试样剪切面取土测其含水量及容重。

按下式计算抗剪强度

τ=CR (2-2-39)

式中 τ——抗剪强度(Pa)

C——钢环校正系数(Pa/0.01mm)

(钢环校正系数按所使用的仪器型号查表得)

R——剪切时钢环中测微表的最大读数,0.01mm

根据计算结果分别求出98kPa、196kPa、294kPa、392kPa的抗剪强度,再代入(2-2-37)中解方程求出该土的内摩擦角和凝聚力,并绘制抗剪强度与垂直压力的关系曲线图。

注意事项:

(1)如果土样在天然含水量下进行剪切试验,则无须在滑动框内加水,可在固定框中盖以湿润的棉花,以保持土样的湿度不变。

(2)同一组试样中的4个试样,必须使容重及含水量基本相同。

(3)4个试样应在同一剪切仪中进行,以消除仪器的误差。

(4)加荷时,避免发生震动土样。

(5)剪切仪应放在坚固的桌面上,以防震动影响测记结果。

(6)对密实度较小、含水量较大的土样,垂直荷重应均匀加上,以免将土样挤出。

(7)剪切时,必须拔去剪切盒螺丝插销,以免损坏仪器,并且要匀速转动手轮,否则影响试验结果。

(8)砂土的剪切曲线应通过原点,粘性土的剪切曲线不应截纵座标于原点之下。

(四)周期性荷载下土的力学性质

1.击实功 土在动力荷载(人工或机械夯实)作用下,孔隙度变小,强度增大,以达到改善盐田土的性质。击实功的计算式如下:

式中 P——压实功(或击实功)(N·cm/cm3)

h——落锤高度(cm)

m——击锤重力(N)

n——击锤次数(次)

V——击实土的体积(cm3)

2.影响压实性能的主要因素

(1)含水量与压实性能的关系 在一定击实功压实下,当含水量较小时,随着含水量的增加,干容重也随之增大,但当含水量增加到一定时,干容重达到最大值,如再增加含水量,干容重又开始下降。土达到最大干容重时的含水量称为最佳含水量(图2-2-20)。

图2-2-20 在一定含水量下干容重与压实功的关系

(2)不同土质与压实性能的关系 在一定的击实功作用下,砂土的干容重大于粘土,而且砂土的击实次数(砂土每层击20次,粘土击≥40次)比粘土少,就能达到最大干容重(表2-2-23)。

表2-2-23 不同土质与干容重的关系

(根据刘亶仁在动力荷重作用下土的压实研究资料)

(3)最优级配土与压实性能的关系 最优级配土(砂:粘为70∶30,60∶40)的压实性能最佳、干容重最大、孔隙比最小(表2-2-24)。

表2-2-24 不同颗粒级配土的压实性能

注:①砂粒粒组:5~0.25mm混合砂

塘沽粘土粒组:0.1~0.05mm 6.70%

0.05~0.005mm 49.00%

<0.005mm 44.30%

易溶盐 8.26%

(4)不同含盐量与压实性能的关系 土壤含盐量增加时,能使相应的最佳含水量减少,干容重增大(表2-2-25)。

表2-2-25 重粉质壤土在不同含盐量下的击实试验

(5)压实功与压实性能的关系 同一种土随着压实功的增加,最佳含水量相应的减少,而干容重随之增大(图2-2-21)。

图2-2-21 压实功与干容重的关系曲线

3.土壤密实层厚度的确定

(1)密实层 土壤密实层是指土壤实测干容重与最大干容重之比≥0.98的土层。用下式表示。

式中 h——土壤密实层厚度(cm)

γd实测——土壤实测干容重(g/cm3)

γdmax——最大干容重(g/cm3)

一般盐田结晶池密实层厚度为20cm,压密度≥0.98才能使池板的抗压强度达到147~196kPa表(2-2-26、表2-2-27)。

表2-2-26 不同密实层厚度池板的抗压强度

表2-2-27 盐田土壤密实层厚度

(2)土壤密实层厚度的确定 土壤密实层厚度的确定方法:

①根据机械(运盐车轮胎着地面积)着地面积中心点下对土体不同深度的垂直应力值(表2-2-28)。

表2-2-28 不同深度处中心点下土中垂直应力值

②根据压实前后池板土的容重、凝聚力、内摩擦角等,求出池板土壤压实前后的最大承载力(极限荷载)和允许承载力。承载力的计算见本节(五)。

③土壤压实后的允许承载力大于机械对土体的垂直应力,密实层厚度可确定为20cm。土壤压实后的允许承载力小于机械对土体的垂直应力,则可增加密实层厚度或采取其他措施,如改造池板表层土壤级配,以提高池板的承压能力。

4.压实工具的选择 土壤含水量等于或接近最佳含水量时,辊碾压实作用的深度(即压实后的密实层厚度)与辊碾单位长度上的压力和辊碾圆筒半径之间的关系式如下:

式中 h——压密层厚度(cm)

q——辊碾单位长度上的压力(kg/cm)

R——辊碾半径(cm)

E——土壤变形模量(kg/cm2)

对粘性土壤E可取为200kg/cm2(即19.6MPa);对非粘性土壤E可取100~150kg/cm2(9.8~14.7MPa)。故上式改为:

当土壤含水量小于最佳含水量时,h值需乘以(w为土壤实际含水量;w0为土壤最佳含水量)比值加以校正。即:

如已知土壤密实层厚度(一般为20~30cm)、土壤实际含水量和最佳含水量,选定辊碾半径后,便可求出辊碾单位长度的压力q,然后查表(表2-2-29)选用合适的机械。

表2-2-29 国产各种型号压路机主要机械性能表

(五)土壤承载力

1.地基(或池板)的变形和破坏过程 在垂直荷载作用下池板破坏过程一般分为oa、ac、c点以下3个阶段(图2-2-22)。

图2-2-22 地基变形与破坏过程

A-直线变形 B-局部剪切 C-完全破坏 D-荷载与变形关系曲线

直线变形阶段(oa段):当荷载P≤Pcr时,P-S曲线关系接近直线,变形增加率为一常量。此时池板处于相对稳定状态。

局部剪切阶段(ac段):当荷载Pcr<P<Pu时,变形增加率不再为一常数,P-S关系为曲线的斜率。此时出现池板局部隆起和裂缝及塑性变形区,但整个池板的处于相对稳定阶段,不致使池板整体破坏。

完全剪坏阶段(c点以下):当荷载P增加到某一极限值Pu时,即使荷载不再增加,池板变形却不断继续增加,承压板不断下沉,池板表面显着向上隆起。此时塑性变形区已扩大到整个承压板下很大范围,形成连续的滑动面,池板因剪切而整体破坏。

2.承载力的计算

(1)按临塑荷载计算池板的承载力 临塑荷载是使池板即将出现塑性变形区时的荷载。

式中 Pcr——临塑荷载(Pa)

h——基础埋置深度(cm)

c——土的凝聚力(Pa)

r——土的天然容重g/cm3

φ——土的内摩擦角(度)

因盐田压实和收盐时h=0,则

计算出临塑荷载Pcr,如与实际作用于池板的荷载P相等时,便可保证池板有足够的稳定性。

(2)按极限荷载计算池板的承载力 极限荷载是使池板发生整体破坏时,可能施加在池板上的最大荷载。

Pu=rbA+rhB+CD (2-2-49)

式中 Pu——极限荷载(Pa)

b——承载面的宽度(cm)

r——土的天然容重(g/cm3)

c——土的凝聚力(Pa)

h——基础埋置深度(cm)

A、B、D——与土的内摩擦角有关的系数,如表2-2-30。

表2-2-30A、B、D系数值

因盐田h=0,则

Pw=rbA+CD (2-2-50)

极限承载力乘以安全系数(0.5~0.75)即得允许承载力。即:

Pcr=(0.5~0.75)·Pu

(3)用查表法确定池板的允许承载力 对于未经压实的粘土类型的盐田土壤,由于其内摩擦角较小(φ<10°),饱和度又较大(G>80%),故不适于用式2-2-48、2-2-50计算,可采用从实践中总结出来的技术数据加以确定(表2-2-31)。

表2-2-31 粘性土壤允许承载力(Pa)

注:(1)表中W为土壤含水量,Wp为塑限,WT为流限。

(2)本表适用于W≤WT,G≥0.8(G为饱和度)。

(3)当ε与W为表中间数值时,允许用内插法求算。

(4)当亚砂土ε>0.7、亚粘土>1、粘土>1.1时不能采用本表。

(5)适于载体或基础宽度0.6~100m、砌置深度(h)为1.5~2.0m时只考虑载体的重力。当h<1·5m时,表2-2-31所列数值须乘以订正系数m=0.5+0.0033h(因盐田h=0),即可求出盐田允许承载量。

(4)现场试验法

用坚实度仪测定。当坚实度仪圆锥楔探头压入土中时,由于池板的松紧程度不一,因而使圆锥探头产生阻力,压缩弹簧,记录指针便根据阻力的大小自动记录在纸带上,然后按楔入的深度和弹簧压缩量的标定曲线值,即可测出土壤的楔入阻力(kg/cm2),间接地表示池板的抗压强度大小(图2-2-23)。

图2-2-23 土壤坚实度仪

1-圆锥楔 2-联结杆 3-滑架 4-支架 5-弹簧a、b 6、7-滚轮 8-沿管 9-记录机构 10-靠板 11-套筒 12-内联螺母 13-螺杆 14-摇柄 15-伞形齿轮 16-托架 17-杠杆 18-记录笔 19-弹簧 20-导向滚轮 21-主动鼓 22-固定轴 23-棘轮圆盘 24-棘爪 25-圆盘 26-纸带卷筒 27-小轴 28-辅助轴 29-弹簧

一般压密土层厚度20cm内,土壤楔入阻力大于1.96MPa,允许承载力为0·15~0.2MPa。土壤楔入阻力大于4MPa,允许承载力为0.2~0.3MPa。

试验方法是:

①选择具有代表性的试验区。

②在测定点上铺一块塑料布,塑料布略大于仪器的底座。如需带卤实测还要用防水框(用薄铁制成无底圆筒、直径1m、高20~30cm),以防卤水与仪器接触。

③将仪器安放在铺有塑料布平整的池板上。

④旋转手柄,使圆锥楔的尖端调至与池面接触,使滑架上的指针正指向零线的位置。

⑤在底座的两端各站一人,即可开始测记。

⑥旋转手柄,使圆锥楔楔入土中规定深度(盐田一般为20~30cm)。

⑦将手柄反向旋转,从土中升出圆锥楔,这时站在底座上的人,方可离开。

⑧根据自动记录曲线查坚实度仪的标定曲线,即可测出不同深度的楔入阻力大小。

注意事项:

①仪器使用完毕后,需用蒸馏水将圆锥楔和联杆冲洗干净,然后再用绒布擦去仪器上的灰尘,涂一薄层凡士林后装箱。

②带卤实测是符合盐业生产实际情况的,但必须用防水框,使仪器安放在框内,隔绝池中卤水与仪器接触。

③待测定完毕,将手轮反向旋转后,站在底座上的人方可离开,否则易将整个仪器顶起,损坏联接杆。

④此仪器不适宜测定加锰死碴盐盐池板。

荷载试验 将一定面积(707cm2)的承压板放池板上。承压板上安有带压力表的油压千斤顶。根据油压千斤顶压力表上的读数,即可直接测出池板的抗压强度(图2-2-24)。

图2-2-24 油压千斤顶现场荷载安装示意图

目前盐田一般采用单车或双车式进行荷载试验。其试验方法是:

①校正油压千斤顶上压力表读数,然后将压力表读数换算成对池板的抗压强度。

②选择具有代表性的盐池,一般每池测5个点。

③将运盐车装满载重,驶入规定的测点上,测点正好在两后轮的中央。

④将测点上的池面或活、死碴盐池底,用碎盐修补填平。如带薄卤实测也应将池表的浮泥除去。

⑤在运盐车后桥的中央,用线锤使锤尖恰好落在承压板的中央。放上橡皮垫,然后在橡皮垫上再放置承压板和油压千斤顶。

⑥在运盐车后轮前、后的方向各安放底座,其底座上的圆铁棒用角铁相连接。

⑦在承压板上的圆铁棒安放测微表,表的尖端正顶在角铁上。

⑧测压仪器安妥后,将测微表调至“0”点,起动千斤顶,加荷至2.45166×104Pa,开动秒表测记,每隔10分钟记录一次沉陷量。每分钟测微表指针不超过0.1mm时,即为稳定。

⑨继续重复上述操作,依次施加4.90333×104Pa、7.35499×104Pa、9.80665×104Pa、12.2583×104Pa、14.70998×104Pa、17.16164×104Pa、19.6133×104Pa……荷载直加至出现下列一种情况时为止:

土从荷载板下骤烈挤出;荷载板周围土出现明显裂缝;虽不出上述情况,但沉陷量已超过10cm,而承压板骤然不停止地下沉。

⑩卸荷后计算许可耐压力和极限强度,并绘制荷载与变形关系曲线图。

注意事项:

①当载重运盐车驶入测点时,前、后轮必须用石块“打眼”,以防千斤顶将车后轮顶起离开地面、车身倾斜或向前滑动。

②测点一定要在两后轮的中央,防止后轮顶起后,车身发生倾斜。

③测点的池面要平,防止承压板沉陷量不均,影响整个试验结果。

④先开始预压2.45166×104Pa,待回弹稳定后(每分钟测微表指针不超过0.1mm)开始测记读数。

⑤测定时将池中卤水泄出。如泄卤有困难,也可带薄卤实测,但须用塑料布将仪器包妥,以防卤水与仪器接触损坏仪器。

随便看

 

离鸟网收录3541549条中英文词条,其功能与新华字典、现代汉语词典、牛津高阶英汉词典等各类中英文词典类似,基本涵盖了全部常用中英文字词句的读音、释义及用法,是语言学习和写作的有利工具。

 

Copyright © 2004-2024 vtrois.com All Rights Reserved
更新时间:2026/4/17 18:19:34