网站首页  词典首页


请输入您要查询的字词:

 

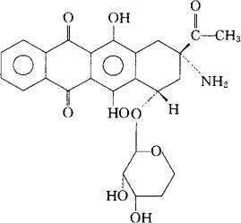
字词 安柔比星
类别 中英文字词句释义及详细解析
释义 安柔比星

C25H25NO9=483.47

CAS-110267-81-7

(±)-(7S,9S)-9-乙酰-9-氨基-7-[(2-脱氧-β-D-赤-吡喃戊糖基)氧]-7,8,9,10-四氢-6,11-二羟基-5,12-并四苯二酮。

(±)-(7S,9S)-9-Acetyl-9-amino-7-[(2-deoxy-β-Derythro-pentopyranosyl)oxy]-7,8,9,10-tetrahydro6,11-dihydroxy-5,12-naphthacenedione.

抗生素类抗肿瘤药。

Amrubicin.

INN,USAN.

随便看

 

离鸟网收录3541549条中英文词条,其功能与新华字典、现代汉语词典、牛津高阶英汉词典等各类中英文词典类似,基本涵盖了全部常用中英文字词句的读音、释义及用法,是语言学习和写作的有利工具。

 

Copyright © 2004-2024 vtrois.com All Rights Reserved
更新时间:2026/4/18 5:22:53