网站首页  词典首页


请输入您要查询的字词:

 

字词 n阶行列式
类别 中英文字词句释义及详细解析
释义

n阶行列式


n阶行列式的定义 n阶行列式记成

它是取自不同行、不同列的n个元素的乘积

a1j1a2j2…anj,1

的代数和,其中行下标顺排(自然序排列),列下标j1,j2,…,jn是一个n元排列.当j1j2…jn是偶排列时,该项前面带正号;j1j2…jn是奇排列时,该项前面带负号,即每项的正负号由(-1)σ(j1j2…jn)决定,即

其中表示对所有n元排列求和.由于n元排列共有n!个,故形如

的项共有n!项,(1)式称为n阶行列式的完全展开式.

对角形行列式 行列式

称为对角形行列式.

上三角形行列式 行列式

称为上三角形行列式.

下三角形行列式 行列式

称为下三角形行列式.

对角形行列式、上三角形、下三角形行列式的值等于主对角线上元素的乘积,即

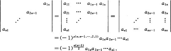
副对角形行列式 行列式

称为副对角形行列式.

左上三角形行列式 行列式

称为左上三角形行列式.

右下三角形行列式 行列式

称为右下三角形行列式.

n阶副对角形行列式、左上三角形、右下三角形行列式的值等于副对角线上元素的积并乘以,即

行列式的等价定义 数的乘法有交换律,对换n阶行列式的完全展式中的任意两个元素,乘积的值不变,但行、列下标均作了一次对换,对换改变排列的奇偶性,但行下标排列和列下标排列的总的奇偶数不变,元素对换若干次,使列下标为顺排(自然序排列)时,则该项的正负号由行下标排列的逆序数决定.

随便看

 

离鸟网收录3541549条中英文词条,其功能与新华字典、现代汉语词典、牛津高阶英汉词典等各类中英文词典类似,基本涵盖了全部常用中英文字词句的读音、释义及用法,是语言学习和写作的有利工具。

 

Copyright © 2004-2024 vtrois.com All Rights Reserved
更新时间:2026/4/21 18:05:53