马尼地平6300
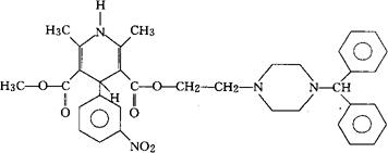
C35H38N4O6=610.71 CAS-120092-68-4 CAS-89226-50-6 甲基(±)-1,4-二氢-2,6-二甲基-4-(间-硝苯基)-3,5-吡啶羧酸2-[4-(二苯甲基)-1-哌嗪基]乙酯。 2-[4-(Diphenylmethyl)-1-piperazinyl]ethyl methyl(±)-1,4-dihydro-2,6-dimethyl-4-(m-nitrophenyl)-3,5-pyridinedicarboxylate. 血管扩张药,抗高血压药(钙拮抗药)。 Manidipine 6300. INN,USAN. 
|