网站首页  词典首页


请输入您要查询的字词:

 

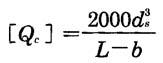
字词 按轴颈应力验算导网辊能承受的许用总载荷[QC]
类别 中英文字词句释义及详细解析
释义 按轴颈应力验算导网辊能承受的许用总载荷[QC]

(按钢轴颈,[σω]=50×102N/cm2推导) (28)

和案辊一样,式中的ds为辊筒端面根部的轴颈直径。在求出的诸[Q]值中,应选用最小者与实际总载荷Q相比较,大于或等于Q则安全。

随便看

 

离鸟网收录3541549条中英文词条,其功能与新华字典、现代汉语词典、牛津高阶英汉词典等各类中英文词典类似,基本涵盖了全部常用中英文字词句的读音、释义及用法,是语言学习和写作的有利工具。

 

Copyright © 2004-2024 vtrois.com All Rights Reserved
更新时间:2026/4/20 16:32:24