网站首页  词典首页


请输入您要查询的字词:

 

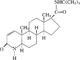
字词 非那雄胺
类别 中英文字词句释义及详细解析
释义 非那雄胺

C23H36N2O2=372.55

CAS-98319-26-7

N-(1,1-二甲基乙基)-3-氧代-4-氮杂雄甾-1-烯-17-羧甲酰胺(5α,17β)。

4-Azaandrost-1-ene-17-carboxamide,N-(1,1-dimethylethyl)-3-oxo-,(5α,17β)-.

N-叔-丁基-3-氧代-4-氮杂-5α-雄甾-1-烯-17β-羧酰胺。

N-tert-Butyl-3-oxo-4-aza-5α-androst-1-ene-17β-carboxamide.

抗肿瘤药。

Finasteride,MK-906,Proscar.

USAN.

随便看

 

离鸟网收录3541549条中英文词条,其功能与新华字典、现代汉语词典、牛津高阶英汉词典等各类中英文词典类似,基本涵盖了全部常用中英文字词句的读音、释义及用法,是语言学习和写作的有利工具。

 

Copyright © 2004-2024 vtrois.com All Rights Reserved
更新时间:2026/4/19 2:43:07