网站首页  词典首页


请输入您要查询的字词:

 

字词 非那可明
类别 中英文字词句释义及详细解析
释义 非那可明

C20H27NO2=313.44

CAS-34616-39-2

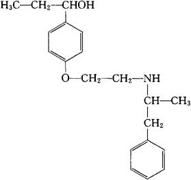
α-乙基-对-[2-[(α-甲基苯乙基)氨基]乙氧]苄醇。

α-Ethyl-p-[2-[(α-methylphenethyl)amino]ethoxy]benzyl alcohol.

2-[N-[β-[4-(α-羟丙基)苯氧]乙基]氨基]-1-苯丙烷。

2-[N-[β-[4-(α-Hydroxypropyl)phenoxy]ethyl]amino]-1-phenylpropane.

冠脉扩张药,局部麻醉药。

Fenalcomine.

INN,DCF,USAN,MI.

随便看

 

离鸟网收录3541549条中英文词条,其功能与新华字典、现代汉语词典、牛津高阶英汉词典等各类中英文词典类似,基本涵盖了全部常用中英文字词句的读音、释义及用法,是语言学习和写作的有利工具。

 

Copyright © 2004-2024 vtrois.com All Rights Reserved
更新时间:2026/4/17 15:28:05