网站首页  词典首页


请输入您要查询的字词:

 

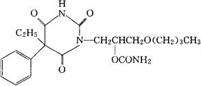
字词 非巴氨酯
类别 中英文字词句释义及详细解析
释义 非巴氨酯

C20H27N3O6=405.45

CAS-13246-02-1

1-(3-丁氧-2-羟丙)5-乙基-5-苯巴比土酸氨基甲酸酯。

1-(3-Butoxy-2-hydroxypropyl)-5-ethyl-5-phenylbarbituric acid carbamatester.

催眠镇静药,抗癫痫药。

苯巴氨酯。

Febazbamate,GO-560.

INN,DCF,NFN,USAN,MI.

随便看

 

离鸟网收录3541549条中英文词条,其功能与新华字典、现代汉语词典、牛津高阶英汉词典等各类中英文词典类似,基本涵盖了全部常用中英文字词句的读音、释义及用法,是语言学习和写作的有利工具。

 

Copyright © 2004-2024 vtrois.com All Rights Reserved
更新时间:2026/4/17 21:23:48