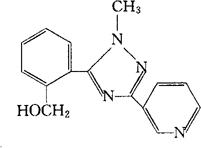
非吡三唑
C15H14N4O=266.30 CAS-53415-46-6 邻-[1-甲基-3-(3-吡啶基)-IH-1,2,4-三唑-5-基]苄醇。 o-[1-Methyl-3-(3-pyridyl)-1H-1,2,4-triazol-5-yl]benzyl alcohol. 5-(2-羟甲苯基)-1-甲基-3-(3-吡啶基)-1,2,4-三唑。 5-(2-Hydroxymethylphenyl)-1-methyl-3-(3-pyridyl1,2,4-triazole. 2-[1-甲基-3-(3-吡啶基)-1H-1,2,4-三唑-5-基]-苯甲醇 2-[1-Methyl-3-(3-pyridinyl)-1H-1,2,4-triazol-5-y[[-benzenemethanol. 催眠药,中枢神经抑制药。 Pepitrizol. INN,USAN. 
|